• 文献检索
  • 文档翻译
  • 深度研究
  • 学术资讯
  • Suppr Zotero 插件Zotero 插件
  • 邀请有礼
  • 套餐&价格
  • 历史记录
应用&插件
Suppr Zotero 插件Zotero 插件浏览器插件Mac 客户端Windows 客户端微信小程序
定价
高级版会员购买积分包购买API积分包
服务
文献检索文档翻译深度研究API 文档MCP 服务
关于我们
关于 Suppr公司介绍联系我们用户协议隐私条款
关注我们

Suppr 超能文献

核心技术专利:CN118964589B侵权必究
粤ICP备2023148730 号-1Suppr @ 2026

文献检索

告别复杂PubMed语法,用中文像聊天一样搜索,搜遍4000万医学文献。AI智能推荐,让科研检索更轻松。

立即免费搜索

文件翻译

保留排版,准确专业,支持PDF/Word/PPT等文件格式,支持 12+语言互译。

免费翻译文档

深度研究

AI帮你快速写综述,25分钟生成高质量综述,智能提取关键信息,辅助科研写作。

立即免费体验

新鲜冷冻人体尸体作为微创手术训练模型的结构效度。

Construct validity of fresh frozen human cadaver as a training model in minimal access surgery.

作者信息

Sharma Mitesh, Macafee David, Pranesh Nagarajan, Horgan Alan F

机构信息

Newcastle Surgical Training Centre, Department of General Surgery, Freeman Hospital NHS Trust, Newcastle Upon Tyne, NE7 7DN, UK.

出版信息

JSLS. 2012 Jul-Sep;16(3):345-52. doi: 10.4293/108680812X13462882735818.

DOI:10.4293/108680812X13462882735818
PMID:23318058
原文链接:https://pmc.ncbi.nlm.nih.gov/articles/PMC3535798/
Abstract

BACKGROUND

The construct validity of fresh human cadaver as a training tool has not been established previously. The aims of this study were to investigate the construct validity of fresh frozen human cadaver as a method of training in minimal access surgery and determine if novices can be rapidly trained using this model to a safe level of performance.

METHODS

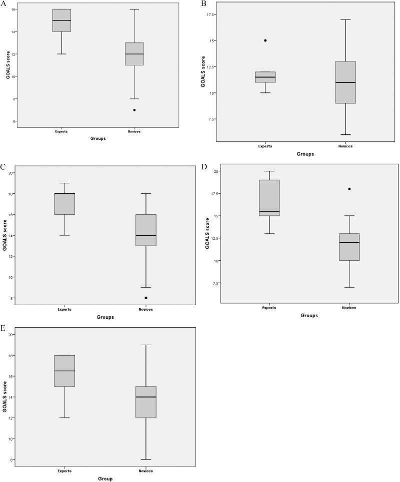
Junior surgical trainees, novices (<3 laparoscopic procedure performed) in laparoscopic surgery, performed 10 repetitions of a set of structured laparoscopic tasks on fresh frozen cadavers. Expert laparoscopists (>100 laparoscopic procedures) performed 3 repetitions of identical tasks. Performances were scored using a validated, objective Global Operative Assessment of Laparoscopic Skills scale. Scores for 3 consecutive repetitions were compared between experts and novices to determine construct validity. Furthermore, to determine if the novices reached a safe level, a trimmed mean of the experts score was used to define a benchmark. Mann-Whitney Utest was used for construct validity analysis and 1-sample t test to compare performances of the novice group with the benchmark safe score.

RESULTS

Ten novices and 2 experts were recruited. Four out of 5 tasks (nondominant to dominant hand transfer; simulated appendicectomy; intracorporeal and extracorporeal knot tying) showed construct validity. Novices' scores became comparable to benchmark scores between the eighth and tenth repetition.

CONCLUSION

Minimal access surgical training using fresh frozen human cadavers appears to have construct validity. The laparoscopic skills of novices can be accelerated through to a safe level within 8 to 10 repetitions.

摘要

背景

新鲜人体尸体作为一种训练工具的结构效度此前尚未得到证实。本研究的目的是调查新鲜冷冻人体尸体作为微创外科手术训练方法的结构效度,并确定新手能否使用该模型快速训练至安全的操作水平。

方法

初级外科实习生,即腹腔镜手术新手(<3次腹腔镜手术操作经验),在新鲜冷冻尸体上对一组结构化的腹腔镜任务进行10次重复操作。专家腹腔镜手术医生(>100次腹腔镜手术操作经验)对相同任务进行3次重复操作。使用经过验证的客观腹腔镜技能全球手术评估量表对操作进行评分。比较专家和新手连续3次重复操作的得分以确定结构效度。此外,为了确定新手是否达到安全水平,使用专家得分的截尾均值来定义一个基准。采用曼-惠特尼U检验进行结构效度分析,采用单样本t检验比较新手组与基准安全得分的操作表现。

结果

招募了10名新手和2名专家。5项任务中的4项(非优势手到优势手的转换;模拟阑尾切除术;体内和体外打结)显示出结构效度。新手的得分在第8次和第10次重复操作之间与基准得分相当。

结论

使用新鲜冷冻人体尸体进行微创外科手术训练似乎具有结构效度。新手的腹腔镜技能可以在8至10次重复操作内加速提升至安全水平。

https://cdn.ncbi.nlm.nih.gov/pmc/blobs/cdb2/3535798/5137318a0896/jls0031228840001.jpg
https://cdn.ncbi.nlm.nih.gov/pmc/blobs/cdb2/3535798/5137318a0896/jls0031228840001.jpg
https://cdn.ncbi.nlm.nih.gov/pmc/blobs/cdb2/3535798/5137318a0896/jls0031228840001.jpg

相似文献

1
Construct validity of fresh frozen human cadaver as a training model in minimal access surgery.新鲜冷冻人体尸体作为微创手术训练模型的结构效度。
JSLS. 2012 Jul-Sep;16(3):345-52. doi: 10.4293/108680812X13462882735818.
2
Basic laparoscopic skills training using fresh frozen cadaver: a randomized controlled trial.应用新鲜冷冻尸体进行基本腹腔镜技能训练:一项随机对照试验。
Am J Surg. 2013 Jul;206(1):23-31. doi: 10.1016/j.amjsurg.2012.10.037. Epub 2013 Apr 25.
3
An evidence-based virtual reality training program for novice laparoscopic surgeons.一项针对新手腹腔镜外科医生的循证虚拟现实培训项目。
Ann Surg. 2006 Aug;244(2):310-4. doi: 10.1097/01.sla.0000218094.92650.44.
4
Comparison of fresh-frozen cadaver and high-fidelity virtual reality simulator as methods of laparoscopic training.比较新鲜冷冻尸体和高保真虚拟现实模拟器作为腹腔镜训练的方法。
World J Surg. 2012 Aug;36(8):1732-7. doi: 10.1007/s00268-012-1564-6.
5
Laparoscopic skills training using inexpensive box trainers: which exercises to choose when constructing a validated training course.使用廉价的箱子训练器进行腹腔镜技能训练:在构建经过验证的培训课程时应选择哪些练习。
BJOG. 2011 Dec;118(13):1576-84. doi: 10.1111/j.1471-0528.2011.03146.x. Epub 2011 Oct 10.
6
Validation of a new basic virtual reality simulator for training of basic endoscopic skills: the SIMENDO.一种用于基础内镜技能培训的新型基础虚拟现实模拟器SIMENDO的验证
Surg Endosc. 2006 Mar;20(3):511-8. doi: 10.1007/s00464-005-0230-6. Epub 2006 Jan 25.
7
Training model for laparoscopic Heller and Dor fundoplication: a tool for laparoscopic skills training and assessment-construct validity using the GOALS score.腹腔镜Heller术和Dor胃底折叠术训练模型:一种用于腹腔镜技能训练与评估的工具——使用GOALS评分的结构效度
Surg Endosc. 2016 Aug;30(8):3654-60. doi: 10.1007/s00464-015-4617-8. Epub 2015 Oct 30.
8
Validation of a Novel Inverted Peg Transfer Task: Advancing Beyond the Regular Peg Transfer Task for Surgical Simulation-Based Assessment.新型倒置钉板转移任务的验证:超越常规钉板转移任务,实现基于手术模拟的评估。
J Surg Educ. 2018 May-Jun;75(3):836-843. doi: 10.1016/j.jsurg.2017.09.028. Epub 2017 Oct 14.
9
Validation of a Visual-Spatial Secondary Task to Assess Automaticity in Laparoscopic Skills.验证一种用于评估腹腔镜技能自动化的视觉-空间次要任务。
J Surg Educ. 2018 Jul-Aug;75(4):1001-1005. doi: 10.1016/j.jsurg.2017.11.007. Epub 2017 Dec 26.
10
Proficiency-based training for robotic surgery: construct validity, workload, and expert levels for nine inanimate exercises.基于熟练度的机器人手术培训:九项非生物练习的构念效度、工作负荷和专家水平。
Surg Endosc. 2012 Jun;26(6):1516-21. doi: 10.1007/s00464-011-2102-6. Epub 2012 Feb 21.

引用本文的文献

1
A systematic review of the use of human body donor models for postgraduate laparoscopic surgical training.对人体供体模型用于研究生腹腔镜手术培训的系统评价。
Anat Sci Int. 2025 Jul 17. doi: 10.1007/s12565-025-00872-z.
2
Training and assessment for colorectal surgery and appendicectomy- a systematic review.结直肠外科和阑尾切除术的培训和评估-系统评价。
Colorectal Dis. 2024 Apr;26(4):597-608. doi: 10.1111/codi.16905. Epub 2024 Feb 23.
3
A review of simulation training and new 3D computer-generated synthetic organs for robotic surgery education.

本文引用的文献

1
Comparison of fresh-frozen cadaver and high-fidelity virtual reality simulator as methods of laparoscopic training.比较新鲜冷冻尸体和高保真虚拟现实模拟器作为腹腔镜训练的方法。
World J Surg. 2012 Aug;36(8):1732-7. doi: 10.1007/s00268-012-1564-6.
2
Cadaveric hands-on training for surgical specialties: is this back to the future for surgical skills development?尸体操作训练在外科专业中的应用:这是外科技能发展的回归吗?
J Surg Educ. 2011 Mar-Apr;68(2):110-6. doi: 10.1016/j.jsurg.2010.10.002.
3
Development of a virtual reality training curriculum for laparoscopic cholecystectomy.
机器人手术教育中模拟训练和新型 3D 计算机生成合成器官的回顾。
J Robot Surg. 2022 Aug;16(4):749-763. doi: 10.1007/s11701-021-01302-8. Epub 2021 Sep 3.
4
Three-dimensional ultrasound for knee osteophyte depiction: a comparative study to computed tomography.三维超声在膝关节骨赘描绘中的应用:与计算机断层扫描的对比研究。
Int J Comput Assist Radiol Surg. 2021 Oct;16(10):1749-1759. doi: 10.1007/s11548-021-02456-4. Epub 2021 Jul 27.
5
Positioning accuracy assessment of minimally invasive percutaneous injection techniques for the treatment of temporomandibular disorders.微创经皮注射技术治疗颞下颌关节紊乱的定位准确性评估。
Dentomaxillofac Radiol. 2021 Feb 1;50(2):20200313. doi: 10.1259/dmfr.20200313. Epub 2020 Jul 24.
6
Simulation platforms to assess laparoscopic suturing skills: a scoping review.模拟平台评估腹腔镜缝合技能:范围综述。
Surg Endosc. 2019 Sep;33(9):2742-2762. doi: 10.1007/s00464-019-06821-y. Epub 2019 May 14.
7
Training for laparoscopic pancreaticoduodenectomy.腹腔镜胰十二指肠切除术培训
Surg Today. 2019 Feb;49(2):103-107. doi: 10.1007/s00595-018-1668-1. Epub 2018 May 10.
8
A novel technique to practice using a high-speed burr for spinal anterior cervical discectomy and fusion.一种用于颈椎前路椎间盘切除融合术的高速磨钻操作的新技术。
Asian J Neurosurg. 2016 Jan-Mar;11(1):39-40. doi: 10.4103/1793-5482.165794.
9
From "silent teachers" to models.从“沉默的老师”到模型。
PLoS Biol. 2014 Oct 21;12(10):e1001971. doi: 10.1371/journal.pbio.1001971. eCollection 2014 Oct.
10
Improved nondominant hand performance on a laparoscopic virtual reality simulator after playing the Nintendo Wii.在玩任天堂Wii之后,腹腔镜虚拟现实模拟器上非优势手的操作表现得到改善。
Surg Endosc. 2013 Nov;27(11):4224-31. doi: 10.1007/s00464-013-3027-z. Epub 2013 Jun 13.
腹腔镜胆囊切除术虚拟现实培训课程的开发。
Br J Surg. 2009 Sep;96(9):1086-93. doi: 10.1002/bjs.6679.
4
Evaluating intraoperative laparoscopic skill: direct observation versus blinded videotaped performances.评估术中腹腔镜技术:直接观察与盲法录像操作表现
Surg Innov. 2007 Sep;14(3):211-6. doi: 10.1177/1553350607308466.
5
Design of a proficiency-based skills training curriculum for the fundamentals of laparoscopic surgery.基于熟练程度的腹腔镜手术基础技能培训课程设计
Surg Innov. 2007 Jun;14(2):107-12. doi: 10.1177/1553350607302329.
6
Evaluation of resident laparoscopic performance using global operative assessment of laparoscopic skills.使用腹腔镜技能整体手术评估法评估住院医师的腹腔镜操作表现。
J Am Coll Surg. 2007 Feb;204(2):308-13. doi: 10.1016/j.jamcollsurg.2006.11.010. Epub 2006 Dec 27.
7
The use of lightly embalmed (fresh tissue) cadavers for resident laparoscopic training.使用轻度防腐(新鲜组织)尸体进行住院医师腹腔镜培训。
J Minim Invasive Gynecol. 2006 Sep-Oct;13(5):451-6. doi: 10.1016/j.jmig.2006.06.011.
8
Teaching surgical skills: what kind of practice makes perfect?: a randomized, controlled trial.外科手术技能教学:何种练习能臻于完美?一项随机对照试验。
Ann Surg. 2006 Sep;244(3):400-9. doi: 10.1097/01.sla.0000234808.85789.6a.
9
An evidence-based virtual reality training program for novice laparoscopic surgeons.一项针对新手腹腔镜外科医生的循证虚拟现实培训项目。
Ann Surg. 2006 Aug;244(2):310-4. doi: 10.1097/01.sla.0000218094.92650.44.
10
Validation of a new basic virtual reality simulator for training of basic endoscopic skills: the SIMENDO.一种用于基础内镜技能培训的新型基础虚拟现实模拟器SIMENDO的验证
Surg Endosc. 2006 Mar;20(3):511-8. doi: 10.1007/s00464-005-0230-6. Epub 2006 Jan 25.