• 文献检索
  • 文档翻译
  • 深度研究
  • 学术资讯
  • Suppr Zotero 插件Zotero 插件
  • 邀请有礼
  • 套餐&价格
  • 历史记录
应用&插件
Suppr Zotero 插件Zotero 插件浏览器插件Mac 客户端Windows 客户端微信小程序
定价
高级版会员购买积分包购买API积分包
服务
文献检索文档翻译深度研究API 文档MCP 服务
关于我们
关于 Suppr公司介绍联系我们用户协议隐私条款
关注我们

Suppr 超能文献

核心技术专利:CN118964589B侵权必究
粤ICP备2023148730 号-1Suppr @ 2026

文献检索

告别复杂PubMed语法,用中文像聊天一样搜索,搜遍4000万医学文献。AI智能推荐,让科研检索更轻松。

立即免费搜索

文件翻译

保留排版,准确专业,支持PDF/Word/PPT等文件格式,支持 12+语言互译。

免费翻译文档

深度研究

AI帮你快速写综述,25分钟生成高质量综述,智能提取关键信息,辅助科研写作。

立即免费体验

症状前家族性阿尔茨海默病突变携带者脑脊液中与构象相关的寡聚体。

Conformation-dependent oligomers in cerebrospinal fluid of presymptomatic familial Alzheimer's disease mutation carriers.

作者信息

Ringman John M, Tomic Jennifer L, Coppola Giovanni, Elashoff David, Gylys Karen H, Glabe Charles G

机构信息

Mary S. Easton Center for Alzheimer's Disease Research at UCLA, Calif., USA.

出版信息

Dement Geriatr Cogn Dis Extra. 2012 Jan;2(1):652-7. doi: 10.1159/000345771. Epub 2012 Dec 15.

DOI:10.1159/000345771
PMID:23341831
原文链接:https://pmc.ncbi.nlm.nih.gov/articles/PMC3551434/
Abstract

BACKGROUND/AIMS: Oligomerization of amyloid beta (Aβ) is a hypothesized step in the formation of plaques in Alzheimer's disease (AD) but has been difficult to demonstrate in vivo in humans. As persons destined to develop familial AD (FAD) due to fully penetrant autosomal dominant mutations are essentially certain to develop the disease, they provide the opportunity to identify oligomers during the presymptomatic stage of the disease.

METHODS

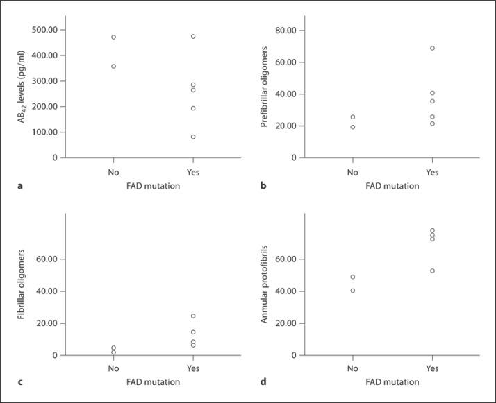
We measured levels of Aβ(42) using a conventional immunoassay and prefibrillar, fibrillar, and annular protofibrillar oligomers using polyclonal conformation-dependent antibodies in the cerebrospinal fluid (CSF) of 7 persons at risk for inheriting FAD mutations. Levels of oligomers were compared between FAD mutation carriers and noncarriers.

RESULTS

Compared to 2 noncarriers, annular protofibrillar oligomers were elevated, prefibrillar and fibrillar oligomers trended towards elevation and Aβ(42) monomer trended towards being decreased in 5 FAD mutation carriers.

CONCLUSION

Our data provide evidence for an identifiable elevation of CSF oligomers during the presymptomatic phase of FAD.

摘要

背景/目的:淀粉样β蛋白(Aβ)寡聚化被认为是阿尔茨海默病(AD)中斑块形成的一个步骤,但在人体体内很难得到证实。由于因完全显性的常染色体显性突变而注定会患家族性AD(FAD)的人基本上肯定会发病,他们为在疾病的症状前阶段识别寡聚体提供了机会。

方法

我们使用传统免疫分析法测量了7名有遗传FAD突变风险者脑脊液(CSF)中Aβ(42)的水平,并使用多克隆构象依赖性抗体测量了前纤维状、纤维状和环状原纤维寡聚体的水平。比较了FAD突变携带者和非携带者之间寡聚体的水平。

结果

与2名非携带者相比,5名FAD突变携带者中环状原纤维寡聚体水平升高,前纤维状和纤维状寡聚体有升高趋势,Aβ(42)单体有降低趋势。

结论

我们的数据为FAD症状前阶段CSF寡聚体水平可识别的升高提供了证据。

https://cdn.ncbi.nlm.nih.gov/pmc/blobs/12f7/3551434/a3fb7a16cf00/dee-0002-0652-g01.jpg
https://cdn.ncbi.nlm.nih.gov/pmc/blobs/12f7/3551434/a3fb7a16cf00/dee-0002-0652-g01.jpg
https://cdn.ncbi.nlm.nih.gov/pmc/blobs/12f7/3551434/a3fb7a16cf00/dee-0002-0652-g01.jpg

相似文献

1
Conformation-dependent oligomers in cerebrospinal fluid of presymptomatic familial Alzheimer's disease mutation carriers.症状前家族性阿尔茨海默病突变携带者脑脊液中与构象相关的寡聚体。
Dement Geriatr Cogn Dis Extra. 2012 Jan;2(1):652-7. doi: 10.1159/000345771. Epub 2012 Dec 15.
2
Dietary DHA supplementation in an APP/PS1 transgenic rat model of AD reduces behavioral and Aβ pathology and modulates Aβ oligomerization.在阿尔茨海默病的APP/PS1转基因大鼠模型中补充膳食二十二碳六烯酸可减轻行为和β淀粉样蛋白病理学变化,并调节β淀粉样蛋白寡聚化。
Neurobiol Dis. 2015 Oct;82:552-560. doi: 10.1016/j.nbd.2015.09.002. Epub 2015 Sep 12.
3
Regional brain volume differences in symptomatic and presymptomatic carriers of familial Alzheimer's disease mutations.家族性阿尔茨海默病突变的症状前和症状携带者的区域性脑容量差异。
J Neurol Neurosurg Psychiatry. 2013 Feb;84(2):154-62. doi: 10.1136/jnnp-2011-302087. Epub 2012 Oct 20.
4
Diffusion tensor imaging in preclinical and presymptomatic carriers of familial Alzheimer's disease mutations.家族性阿尔茨海默病突变的临床前和症状前携带者的扩散张量成像
Brain. 2007 Jul;130(Pt 7):1767-76. doi: 10.1093/brain/awm102. Epub 2007 May 23.
5
Biochemical markers in persons with preclinical familial Alzheimer disease.临床前家族性阿尔茨海默病患者的生化标志物。
Neurology. 2008 Jul 8;71(2):85-92. doi: 10.1212/01.wnl.0000303973.71803.81. Epub 2008 May 28.
6
The amyloid-β isoform pattern in cerebrospinal fluid in familial PSEN1 M139T- and L286P-associated Alzheimer's disease.家族性 PSEN1 M139T-和 L286P 相关阿尔茨海默病患者脑脊液中淀粉样β 异构体模式。
Mol Med Rep. 2012 Apr;5(4):1111-5. doi: 10.3892/mmr.2012.774. Epub 2012 Feb 1.
7
Familial Alzheimer's Disease Mutations within the Amyloid Precursor Protein Alter the Aggregation and Conformation of the Amyloid-β Peptide.淀粉样前体蛋白中的家族性阿尔茨海默病突变改变了β淀粉样肽的聚集和构象。
J Biol Chem. 2017 Feb 24;292(8):3172-3185. doi: 10.1074/jbc.M116.755264. Epub 2017 Jan 3.
8
Florbetapir PET analysis of amyloid-β deposition in the presenilin 1 E280A autosomal dominant Alzheimer's disease kindred: a cross-sectional study.早老素 1 E280A 常染色体显性阿尔茨海默病家系淀粉样蛋白-β沉积的氟比他滨 PET 分析:一项横断面研究。
Lancet Neurol. 2012 Dec;11(12):1057-65. doi: 10.1016/S1474-4422(12)70227-2. Epub 2012 Nov 6.
9
Proteomic changes in cerebrospinal fluid of presymptomatic and affected persons carrying familial Alzheimer disease mutations.携带家族性阿尔茨海默病突变的无症状和患病个体脑脊液中的蛋白质组变化。
Arch Neurol. 2012 Jan;69(1):96-104. doi: 10.1001/archneurol.2011.642.
10
Oligomeric forms of amyloid-β protein in plasma as a potential blood-based biomarker for Alzheimer's disease.血浆中淀粉样β蛋白的寡聚形式作为阿尔茨海默病潜在的基于血液的生物标志物。
Alzheimers Res Ther. 2017 Dec 15;9(1):98. doi: 10.1186/s13195-017-0324-0.

引用本文的文献

1
< Variant and Early-Onset Alzheimer's Disease: A Scoping Review.< 变异型和早发型阿尔茨海默病:一项范围综述。
Front Aging Neurosci. 2022 Jul 22;14:860529. doi: 10.3389/fnagi.2022.860529. eCollection 2022.
2
Monoclonal antibody with conformational specificity for a toxic conformer of amyloid β42 and its application toward the Alzheimer's disease diagnosis.针对淀粉样 β42 有毒构象的具有构象特异性的单克隆抗体及其在阿尔茨海默病诊断中的应用。
Sci Rep. 2016 Jul 4;6:29038. doi: 10.1038/srep29038.
3
Amyloid β oligomers in Alzheimer's disease pathogenesis, treatment, and diagnosis.

本文引用的文献

1
Cerebrospinal fluid biomarkers and proximity to diagnosis in preclinical familial Alzheimer's disease.临床前家族性阿尔茨海默病患者的脑脊液生物标志物与接近诊断时间的相关性。
Dement Geriatr Cogn Disord. 2012;33(1):1-5. doi: 10.1159/000335729. Epub 2012 Feb 13.
2
Longitudinal change in CSF biomarkers in a presymptomatic carrier of an APP mutation.APP 突变的症状前携带者脑脊液生物标志物的纵向变化。
Neurology. 2011 Jun 14;76(24):2124-5. doi: 10.1212/WNL.0b013e31821f4488. Epub 2011 May 11.
3
Amyloid-β annular protofibrils evade fibrillar fate in Alzheimer disease brain.
淀粉样β寡聚体在阿尔茨海默病发病机制、治疗及诊断中的作用
Acta Neuropathol. 2015 Feb;129(2):183-206. doi: 10.1007/s00401-015-1386-3. Epub 2015 Jan 22.
4
Cerebrospinal fluid biomarkers in trials for Alzheimer and Parkinson diseases.用于阿尔茨海默病和帕金森病临床试验的脑脊液生物标志物。
Nat Rev Neurol. 2015 Jan;11(1):41-55. doi: 10.1038/nrneurol.2014.232. Epub 2014 Dec 16.
淀粉样β环形原纤维在阿尔茨海默病大脑中逃避纤维状命运。
J Biol Chem. 2011 Jun 24;286(25):22122-30. doi: 10.1074/jbc.M111.236257. Epub 2011 Apr 20.
4
Conformation dependent monoclonal antibodies distinguish different replicating strains or conformers of prefibrillar Aβ oligomers.构象依赖性单克隆抗体可区分原纤维前 Aβ 寡聚物的不同复制株或构象。
Mol Neurodegener. 2010 Dec 13;5:57. doi: 10.1186/1750-1326-5-57.
5
High-molecular-weight beta-amyloid oligomers are elevated in cerebrospinal fluid of Alzheimer patients.阿尔茨海默病患者脑脊液中高分子量β-淀粉样寡聚物升高。
FASEB J. 2010 Aug;24(8):2716-26. doi: 10.1096/fj.09-150359. Epub 2010 Mar 25.
6
Current concepts of mild cognitive impairment and their applicability to persons at-risk for familial Alzheimer's disease.轻度认知障碍的当前概念及其在家族性阿尔茨海默病高危人群中的适用性。
Curr Alzheimer Res. 2009 Aug;6(4):341-6. doi: 10.2174/156720509788929336.
7
Soluble fibrillar oligomer levels are elevated in Alzheimer's disease brain and correlate with cognitive dysfunction.可溶性纤维状寡聚体水平在阿尔茨海默病大脑中升高,并与认知功能障碍相关。
Neurobiol Dis. 2009 Sep;35(3):352-8. doi: 10.1016/j.nbd.2009.05.024. Epub 2009 Jun 10.
8
Oligomerization partially explains the lowering of Abeta42 in Alzheimer's disease cerebrospinal fluid.寡聚化部分解释了阿尔茨海默病脑脊液中β淀粉样蛋白42水平的降低。
Neurodegener Dis. 2009;6(4):139-47. doi: 10.1159/000225376. Epub 2009 Jun 12.
9
Annular protofibrils are a structurally and functionally distinct type of amyloid oligomer.环状原纤维是一种结构和功能上独特的淀粉样寡聚体类型。
J Biol Chem. 2009 Feb 13;284(7):4230-7. doi: 10.1074/jbc.M808591200. Epub 2008 Dec 18.
10
Long-term effects of Abeta42 immunisation in Alzheimer's disease: follow-up of a randomised, placebo-controlled phase I trial.β淀粉样蛋白42免疫治疗对阿尔茨海默病的长期影响:一项随机、安慰剂对照的I期试验随访
Lancet. 2008 Jul 19;372(9634):216-23. doi: 10.1016/S0140-6736(08)61075-2.