Suppr超能文献

原发性乳腺癌中雌激素受体的个体转录活性及其临床意义。

Individual transcriptional activity of estrogen receptors in primary breast cancer and its clinical significance.

机构信息

Department of Molecular and Functional Dynamics, Graduate School of Medicine, Tohoku University Aoba-Ku, Sendai, 980-8575, Japan.

出版信息

Cancer Med. 2012 Dec;1(3):328-37. doi: 10.1002/cam4.41. Epub 2012 Oct 30.

Abstract

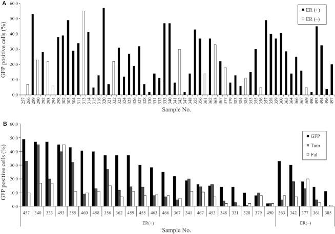
To predict the efficacy of hormonal therapy at the individual-level, immunohistochemical methods are used to analyze expression of classical molecular biomarkers such as estrogen receptor (ER), progesterone receptor (PgR), and HER2. However, the current diagnostic standard is not perfect for the individualization of diverse cases. Therefore, establishment of more accurate diagnostics is required. Previously, we established a novel method that enables analysis of ER transcriptional activation potential in clinical specimens using an adenovirus estrogen response element-green fluorescence protein (ERE-GFP) assay system. Using this assay, we assessed the ERE transcriptional activity of 62 primary breast cancer samples. In 40% of samples, we observed that ER protein expression was not consistent with ERE activity. Comparison of ERE activity with clinicopathological information revealed that ERE activity was significantly correlated with the ER target gene, PgR, rather than ER in terms of both protein and mRNA expression. Moreover, subgrouping of Luminal A-type breast cancer samples according to ERE activity revealed that ERα mRNA expression correlated with ER target gene mRNA expression in the high-, but not the low-, ERE-activity group. On the other hand, the low-ERE-activity group showed significantly higher mRNA expression of the malignancy biomarker Ki67 in association with disease recurrence in 5% of patients. Thus, these data suggest that ER expression does not always correlate with ER transcriptional activity. Therefore, in addition to ER protein expression, determination of ERE activity as an ER functional marker will be helpful for analysis of a variety of diverse breast cancer cases and the subsequent course of treatment.

摘要

为了预测激素治疗的个体疗效,免疫组织化学方法被用于分析经典的分子生物标志物的表达,如雌激素受体(ER)、孕激素受体(PgR)和 HER2。然而,目前的诊断标准并不完善,无法实现对各种病例的个体化治疗。因此,需要建立更准确的诊断方法。此前,我们建立了一种新方法,该方法使用腺病毒雌激素反应元件-绿色荧光蛋白(ERE-GFP)检测系统,能够分析临床标本中 ER 的转录激活潜能。利用该检测方法,我们评估了 62 例原发性乳腺癌样本的 ERE 转录活性。在 40%的样本中,我们观察到 ER 蛋白表达与 ERE 活性不一致。将 ERE 活性与临床病理信息进行比较后发现,与 ER 蛋白和 mRNA 表达相比,ERE 活性与 ER 靶基因 PgR 显著相关。此外,根据 ERE 活性对 Luminal A 型乳腺癌样本进行亚组分析显示,在高 ERE 活性组中,ERα mRNA 表达与 ER 靶基因 mRNA 表达相关,但在低 ERE 活性组中则无相关性。另一方面,低 ERE 活性组中,与 5%患者的疾病复发相关的恶性生物标志物 Ki67 的 mRNA 表达显著升高。因此,这些数据表明 ER 表达并不总是与 ER 转录活性相关。因此,除了 ER 蛋白表达之外,确定 ERE 活性作为 ER 功能标志物将有助于分析各种不同的乳腺癌病例以及随后的治疗过程。

https://cdn.ncbi.nlm.nih.gov/pmc/blobs/5c17/3544461/1742034ded30/cam40001-0328-f1.jpg

文献检索

告别复杂PubMed语法,用中文像聊天一样搜索,搜遍4000万医学文献。AI智能推荐,让科研检索更轻松。

立即免费搜索

文件翻译

保留排版,准确专业,支持PDF/Word/PPT等文件格式,支持 12+语言互译。

免费翻译文档

深度研究

AI帮你快速写综述,25分钟生成高质量综述,智能提取关键信息,辅助科研写作。

立即免费体验