Suppr超能文献

β-烷基(C12H25/C18H37)聚环氧乙烷(n = 0 - 20)丙酰胺同系物的基本表面活性性质。

Basic surface-active properties in the homologous series of β-alkyl (C12H25/C18H37) polyethyleneoxy (n = 0-20) propionamides.

作者信息

Riviş Adrian, Bujanca Gabriel, Traşcă Teodor

机构信息

Department of Food Science, Faculty of Food Processing Technology, Banat's University of Agricultural Sciences and Veterinary Medicine, Calea Aradului 119, Timişoara, 300645, Romania.

出版信息

Chem Cent J. 2013 Feb 13;7(1):31. doi: 10.1186/1752-153X-7-31.

Abstract

BACKGROUND

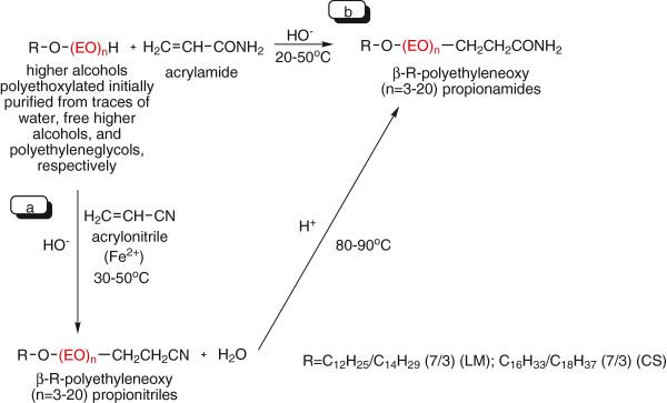
Heterogeneous β-Alkyl (C12H25/C18H37) polyethyleneoxy (n = 0-20) propionamides [R(EO)nPD] represent new "hybrid" nonionic-ionic colloidal structures in the field of surface-active products (technical products). These "niche" compounds have three structural and compositional characteristics that also define their basic colloidal properties: mixture of R and PEO chain homologues; specific conformations due to the PEO chains; and the presence of side products from the addition of higher alcohols, polyethyleneglycols and traces of water to acrylamide. The proposed major objective of this paper is the basic informative colloidal characterization (functional classification, HLB balance, surface tension, critical micelle concentration) in direct correlation with the structural changes in the homologous series of LM(EO)nPD and CS(EO)nPD. The structures were obtained either indirectly by cyanoethylation followed by partial acid hydrolysis of the corresponding β-propionitriles, or directly by the nucleophilic addition under alkaline catalysis of linear higher alcohols C12H25/C14H29 (7/3) (LM) and C16H33/C18H37 (CS) as such and heterogeneous polyethoxylated (n = 3-20) to acrylamide monomer, through an adapted classic reaction scheme.

RESULTS

In the series of basic colloidal characteristics investigated the structure-surface activity dependence is confirmed. Their indicative character for R(EO)nPD is based on the assumption that the structures studied are not unitary (heterogeneous) because: a) the hydrophobic chains C12H25/C18H37 have been grouped in two variants, C12H25/C14H29 (LM); C16H33/C18H37 (CS), each with an internal mass ratio of 7/3; b) the hydrophilic polyoxyethylene chains (n = 3-20) have polydisperse character; the meaning and value the oligomerization degree, n, is that of weighted average. In these conditions the surface tension increases proportionally with the oligomerization degree of the polyoxyethylene chain, while the critical micelle concentration decreases in the same homologous series as well as with the increase of the hydrophobic chain in the C12H25 to C18H37 series. A mechanism of micellization is proposed, consistent with the experimental data recorded and the hypotheses known from the consulted literature.

CONCLUSIONS

The idea of the obtaining and basic colloidal characterization of heterogeneous R(EO)nPD is justified. The knowledge and constructive approach of the heterogeneous character confirm the basic surface-active potential of R(EO)nPD, the structure-colloidal characteristics dependence and justifies further, more extensive research.

摘要

背景

异构β-烷基(C12H25/C18H37)聚氧化乙烯(n = 0 - 20)丙酰胺[R(EO)nPD]代表了表面活性产品(工业产品)领域中的新型“混合”非离子-离子胶体结构。这些“小众”化合物具有三个结构和组成特征,这也决定了它们的基本胶体性质:R链和聚氧化乙烯链同系物的混合物;聚氧化乙烯链导致的特定构象;以及在丙烯酰胺中添加高级醇、聚乙二醇和痕量水时产生的副产物。本文提出的主要目标是进行基本的信息性胶体表征(功能分类、HLB平衡、表面张力、临界胶束浓度),并与LM(EO)nPD和CS(EO)nPD同系物系列中的结构变化直接相关。这些结构要么是通过相应β-丙腈的氰乙基化然后部分酸水解间接获得,要么是通过线性高级醇C12H25/C14H29(7/3)(LM)和C16H33/C18H37(CS)在碱性催化下直接与丙烯酰胺单体进行亲核加成,并通过改进的经典反应方案进行多聚乙氧基化(n = 3 - 20)而得到。

结果

在所研究的一系列基本胶体特性中,证实了结构与表面活性的依赖性。它们对R(EO)nPD的指示特性基于这样的假设,即所研究的结构不是单一的(异构的),原因如下:a)疏水链C12H25/C18H37已分为两种变体,C12H25/C14H29(LM);C16H33/C18H37(CS),每种内部质量比为7/3;b)亲水性聚氧化乙烯链(n = 3 - 20)具有多分散性;低聚度n的意义和值是加权平均值。在这些条件下,表面张力随聚氧化乙烯链的低聚度成比例增加,而临界胶束浓度在相同的同系物系列中以及随着C12H25到C18H37系列中疏水链的增加而降低。提出了一种胶束化机制,与记录的实验数据和参考文献中已知的假设一致。

结论

获得异构R(EO)nPD并进行基本胶体表征的想法是合理的。对异构特性的了解和建设性方法证实了R(EO)nPD的基本表面活性潜力、结构与胶体特性的依赖性,并为进一步更广泛的研究提供了依据。

https://cdn.ncbi.nlm.nih.gov/pmc/blobs/86e2/3695855/93bcaecd616c/1752-153X-7-31-1.jpg

文献检索

告别复杂PubMed语法,用中文像聊天一样搜索,搜遍4000万医学文献。AI智能推荐,让科研检索更轻松。

立即免费搜索

文件翻译

保留排版,准确专业,支持PDF/Word/PPT等文件格式,支持 12+语言互译。

免费翻译文档

深度研究

AI帮你快速写综述,25分钟生成高质量综述,智能提取关键信息,辅助科研写作。

立即免费体验