Suppr超能文献

电化学还原氧化石墨烯多层膜作为染料敏化太阳能电池的高效对电极。

Electrochemically reduced graphene oxide multilayer films as efficient counter electrode for dye-sensitized solar cells.

作者信息

Xu Xiaobao, Huang Dekang, Cao Kun, Wang Mingkui, Zakeeruddin Shaik M, Grätzel Michael

机构信息

Michael Grätzel Center for Mesoscopic Solar Cells, Wuhan National Laboratory for Optoelectronics, School of Optical and Electronic Information, Huazhong University of Science and Technology, 1037 Luoyu Road, 430074 Wuhan, PR China.

出版信息

Sci Rep. 2013;3:1489. doi: 10.1038/srep01489.

Abstract

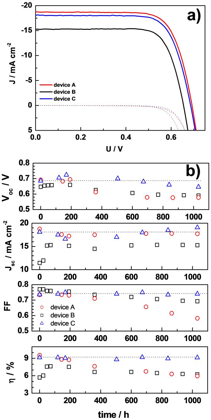
We report on a new counter electrode for dye-sensitized solar cells (DSCs), which is prepared using layer-by-layer assembly of negatively charged graphene oxide and positively charged poly (diallyldimethylammonium chloride) followed by an electrochemical reduction procedure. The DSC devises using the heteroleptic Ru complex C106TBA as sensitizer and this new counter electrode reach power conversion efficiencies of 9.5% and 7.6% in conjunction with low volatility and solvent free ionic liquid electrolytes, respectively. The new counter electrode exhibits good durability (60°C for 1000 h in a solar simulator, 100 mW cm(-2)) during the accelerated tests when used in combination with an ionic liquid electrolyte. This work identifies a new class of electro-catalysts with potential for low cost photovoltaic devices.

摘要

我们报道了一种用于染料敏化太阳能电池(DSC)的新型对电极,它是通过带负电荷的氧化石墨烯和带正电荷的聚二烯丙基二甲基氯化铵逐层组装,随后进行电化学还原制备而成。使用杂配钌配合物C106TBA作为敏化剂的DSC器件,搭配低挥发性且无溶剂的离子液体电解质,使用这种新型对电极时,功率转换效率分别达到了9.5%和7.6%。在加速测试中,当与离子液体电解质结合使用时,这种新型对电极在太阳能模拟器(100 mW cm(-2))中于60°C下放置1000小时的情况下,仍表现出良好的耐久性。这项工作确定了一类具有用于低成本光伏器件潜力的新型电催化剂。

https://cdn.ncbi.nlm.nih.gov/pmc/blobs/53f8/3601371/6af151157c51/srep01489-f1.jpg

文献AI研究员

20分钟写一篇综述,助力文献阅读效率提升50倍。

立即体验

用中文搜PubMed

大模型驱动的PubMed中文搜索引擎

马上搜索

文档翻译

学术文献翻译模型,支持多种主流文档格式。

立即体验