Suppr超能文献

[11C]普拉克索的放射性合成与临床前评价作为 5-HT4 受体的潜在激动剂 PET 配体。

Radiosynthesis and preclinical evaluation of [11C]prucalopride as a potential agonist PET ligand for the 5-HT4 receptor.

机构信息

Department of Radiology and Nuclear Medicine, VU University Medical Center, PO Box 7057, Amsterdam, MB, 1007, The Netherlands.

出版信息

EJNMMI Res. 2013 Apr 4;3(1):24. doi: 10.1186/2191-219X-3-24.

Abstract

BACKGROUND

Serotonin 5-HT4 receptor (5-HT4-R) agonists are potential therapeutic agents for enterokinetic and cognitive disorders and are marketed for treatment of constipation. The aim of this study was to develop an agonist positron emission tomography (PET) ligand in order to label the active G-protein coupled 5-HT4-R in peripheral and central tissues. For this purpose prucalopride, a high-affinity selective 5-HT4-R agonist, was selected.

METHODS

[11C]Prucalopride was synthesized from [11C]methyl triflate and desmethyl prucalopride, and its LogDoct,pH7.4 was determined. Three distinct studies were performed with administration of IV [11C]prucalopride in male rats: (1) The biodistribution of radioactivity was measured ex vivo; (2) the kinetics of radioactivity levels in brain regions and peripheral organs was assessed in vivo under baseline conditions and following pre-treatment with tariquidar, a P-glycoprotein efflux pump inhibitor; and (3) in vivo stability of [11C]prucalopride was checked ex vivo in plasma and brain extracts using high-performance liquid chromatography.

RESULTS

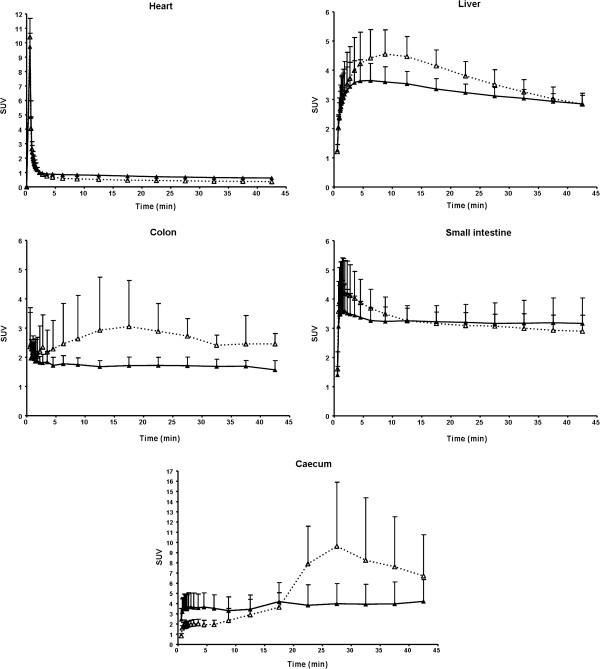
[11C]Prucalopride was synthesized in optimised conditions with a yield of 21% ± 4% (decay corrected) and a radiochemical purity (>99%), its LogDoct,pH7.4 was 0.87. Ex vivo biodistribution studies with [11C]prucalopride in rats showed very low levels of radioactivity in brain (maximal 0.13% ID·g-1) and ten times higher levels in certain peripheral tissues. The PET studies confirmed very low brain levels of radioactivity under baseline conditions; however, it was increased three times after pre-treatment with tariquidar. [11C]Prucalopride was found to be very rapidly metabolised in rats, with no parent compound detectable in plasma and brain extracts at 5 and 30 min following IV administration. Analysis of levels of radioactivity in peripheral tissues revealed a distinct PET signal in the caecum, which was reduced following tariquidar pre-treatment. The latter is in line with the role of the P-glycoprotein pump in the gut.

CONCLUSION

[11C]Prucalopride demonstrated low radioactivity levels in rat brain; a combination of reasons may include rapid metabolism in the rat in particular, low passive diffusion and potential P-glycoprotein substrate. In humans, further investigation of [11C]prucalopride for imaging the active state of 5-HT4-R is worthwhile, in view of the therapeutic applications of 5-HT4 agonists for treatment of gastrointestinal motility disorders.

摘要

背景

5-羟色胺 5-HT4 受体(5-HT4-R)激动剂是治疗运动障碍和认知障碍的潜在治疗药物,已上市用于治疗便秘。本研究旨在开发一种激动剂正电子发射断层扫描(PET)配体,以便标记外周和中枢组织中活跃的 G 蛋白偶联 5-HT4-R。为此,选择了一种高亲和力的选择性 5-HT4-R 激动剂普鲁卡必利。

方法

[11C]普鲁卡必利由[11C]甲基三氟甲磺酸酯和去甲基普鲁卡必利合成,并测定其 LogDoct,pH7.4。在雄性大鼠中进行了三项不同的研究,以静脉注射 IV [11C]普鲁卡必利:(1)测量放射性活度的生物分布;(2)在基线条件下和预先用 Tariquidar(一种 P-糖蛋白外排泵抑制剂)处理后,评估放射性活度在脑区和外周器官中的动力学;(3)使用高效液相色谱法在血浆和脑提取物中检查[11C]普鲁卡必利的体外稳定性。

结果

[11C]普鲁卡必利在优化条件下合成,产率为 21%±4%(衰变校正),放射化学纯度(>99%),其 LogDoct,pH7.4 为 0.87。大鼠体内[11C]普鲁卡必利的生物分布研究表明,放射性活度在脑内非常低(最大 0.13% ID·g-1),而在某些外周组织中则高出十倍。PET 研究证实,在基线条件下,脑内放射性活度非常低;然而,在预先用 Tariquidar 处理后,其增加了三倍。[11C]普鲁卡必利在大鼠体内迅速代谢,静脉注射后 5 和 30 分钟,在血浆和脑提取物中均未检测到母体化合物。对外周组织中放射性活度的分析表明,在盲肠中存在明显的 PET 信号,而在 Tariquidar 预处理后,该信号降低。这与 P-糖蛋白泵在肠道中的作用一致。

结论

[11C]普鲁卡必利在大鼠脑中显示出低放射性活度;原因可能包括大鼠中快速代谢,低被动扩散和潜在的 P-糖蛋白底物。鉴于 5-HT4 激动剂治疗胃肠道动力障碍的治疗应用,在人类中进一步研究[11C]普鲁卡必利用于成像 5-HT4-R 的活跃状态是值得的。

https://cdn.ncbi.nlm.nih.gov/pmc/blobs/b3e6/3623622/ea2bcc150748/2191-219X-3-24-1.jpg

文献AI研究员

20分钟写一篇综述,助力文献阅读效率提升50倍。

立即体验

用中文搜PubMed

大模型驱动的PubMed中文搜索引擎

马上搜索

文档翻译

学术文献翻译模型,支持多种主流文档格式。

立即体验