Department of Pathology, Safety Assessment, Genentech Inc., South San Francisco, CA 94080, USA.
Dis Model Mech. 2013 May;6(3):855-65. doi: 10.1242/dmm.011759. Epub 2013 Apr 10.
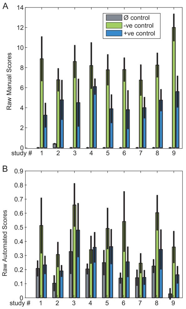
The DSS (dextran sulfate sodium) model of colitis is a mouse model of inflammatory bowel disease. Microscopic symptoms include loss of crypt cells from the gut lining and infiltration of inflammatory cells into the colon. An experienced pathologist requires several hours per study to score histological changes in selected regions of the mouse gut. In order to increase the efficiency of scoring, Definiens Developer software was used to devise an entirely automated method to quantify histological changes in the whole H&E slide. When the algorithm was applied to slides from historical drug-discovery studies, automated scores classified 88% of drug candidates in the same way as pathologists' scores. In addition, another automated image analysis method was developed to quantify colon-infiltrating macrophages, neutrophils, B cells and T cells in immunohistochemical stains of serial sections of the H&E slides. The timing of neutrophil and macrophage infiltration had the highest correlation to pathological changes, whereas T and B cell infiltration occurred later. Thus, automated image analysis enables quantitative comparisons between tissue morphology changes and cell-infiltration dynamics.
葡聚糖硫酸钠(DSS)结肠炎模型是一种炎症性肠病的小鼠模型。显微镜下的症状包括肠黏膜隐窝细胞丢失和炎症细胞浸润结肠。一位经验丰富的病理学家需要数小时才能对小鼠肠道选定区域的组织学变化进行评分。为了提高评分效率,Definiens Developer 软件被用于设计一种完全自动化的方法来量化 H&E 幻灯片上的组织学变化。当该算法应用于历史药物发现研究的幻灯片时,自动化评分与病理学家的评分一样,将 88%的药物候选物分类。此外,还开发了另一种自动化图像分析方法来量化 H&E 幻灯片连续切片免疫组织化学染色中浸润的结肠巨噬细胞、中性粒细胞、B 细胞和 T 细胞。中性粒细胞和巨噬细胞浸润的时间与病理变化相关性最高,而 T 和 B 细胞浸润发生较晚。因此,自动化图像分析可以实现组织形态变化和细胞浸润动力学之间的定量比较。