Suppr超能文献

比较BK病毒反式激活蛋白和单纯疱疹病毒1型ICP47对MHC-I和MHC-II表达的影响。

Comparing effects of BK virus agnoprotein and herpes simplex-1 ICP47 on MHC-I and MHC-II expression.

作者信息

Cioni Michela, Mittelholzer Christian, Wernli Marion, Hirsch Hans H

机构信息

Transplantation & Clinical Virology, Department Biomedicine Haus Petersplatz, University of Basel, Petersplatz 10, CH-4003 Basel, Switzerland.

出版信息

Clin Dev Immunol. 2013;2013:626823. doi: 10.1155/2013/626823. Epub 2013 Mar 27.

Abstract

BACKGROUND

Among human polyomaviruses, only BK virus (BKV) and JC virus (JCV) encode an agnoprotein upstream of VP1 on the viral late transcript. BKV agnoprotein is abundantly expressed late in the viral life cycle, but specific cellular and humoral immune responses are low or absent. We hypothesized that agnoprotein might contribute to BKV immune evasion by downregulating HLA expression, similar to Herpes simplex virus-1 ICP47.

METHODS

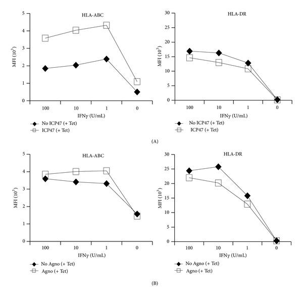
UTA-6 or primary human renal proximal tubular epithelial cells (RPTEC) were co-transfected with plasmids constitutively expressing agnoprotein, or ICP47, and enhanced green-fluorescent protein (EGFP). EGFP-gated cells were analyzed for HLA-ABC and HLA-DR expression by flow cytometry. HLA-ABC and HLA-DR expression was also analyzed on UTA-6 bearing tetracycline-regulated agnoprotein or ICP47. Effects of agnoprotein on viral peptide-dependent T-cell killing were investigated using (51)Cr release.

RESULTS

ICP47 downregulated HLA-ABC without affecting HLA-DR, whereas agnoprotein did not affect HLA-ABC or HLA-DR expression. Interferon- γ treatment increased HLA-ABC in a dose-dependent manner, which was antagonized by ICP47, but not by agnoprotein. In UTA-6 cells, agnoprotein expression did neither impair HLA-ABC or -DR expression nor peptide-specific killing impaired by HLA-matched T-cells.

CONCLUSION

Unlike the HSV-1 ICP47, BKV agnoprotein does not contribute to viral immune evasion by down-regulating HLA-ABC, or interfere with HLA-DR expression or peptide-dependent T-cell cytotoxicity.

摘要

背景

在人类多瘤病毒中,只有BK病毒(BKV)和JC病毒(JCV)在病毒晚期转录本上的VP1上游编码一种agnoprotein。BKV agnoprotein在病毒生命周期后期大量表达,但特异性细胞免疫和体液免疫反应较低或不存在。我们推测agnoprotein可能通过下调HLA表达来促进BKV免疫逃逸,类似于单纯疱疹病毒1型ICP47。

方法

将组成性表达agnoprotein或ICP47的质粒与增强型绿色荧光蛋白(EGFP)共转染UTA-6或原代人肾近端小管上皮细胞(RPTEC)。通过流式细胞术分析EGFP门控细胞的HLA-ABC和HLA-DR表达。还分析了携带四环素调节的agnoprotein或ICP47的UTA-6上的HLA-ABC和HLA-DR表达。使用(51)Cr释放研究agnoprotein对病毒肽依赖性T细胞杀伤的影响。

结果

ICP47下调HLA-ABC而不影响HLA-DR,而agnoprotein不影响HLA-ABC或HLA-DR表达。干扰素-γ处理以剂量依赖性方式增加HLA-ABC,这被ICP47拮抗,但不被agnoprotein拮抗。在UTA-6细胞中,agnoprotein表达既不损害HLA-ABC或-DR表达,也不损害HLA匹配的T细胞的肽特异性杀伤。

结论

与HSV-1 ICP47不同,BKV agnoprotein不会通过下调HLA-ABC来促进病毒免疫逃逸,也不会干扰HLA-DR表达或肽依赖性T细胞细胞毒性。

https://cdn.ncbi.nlm.nih.gov/pmc/blobs/9c3d/3623393/e737dc807505/CDI2013-626823.001.jpg

文献检索

告别复杂PubMed语法,用中文像聊天一样搜索,搜遍4000万医学文献。AI智能推荐,让科研检索更轻松。

立即免费搜索

文件翻译

保留排版,准确专业,支持PDF/Word/PPT等文件格式,支持 12+语言互译。

免费翻译文档

深度研究

AI帮你快速写综述,25分钟生成高质量综述,智能提取关键信息,辅助科研写作。

立即免费体验