Department of Applied Physics, Osaka University, 2-1 Yamadaoka, Suita, Osaka 565-0871, Japan.
Nanoscale Res Lett. 2013 May 1;8(1):204. doi: 10.1186/1556-276X-8-204.
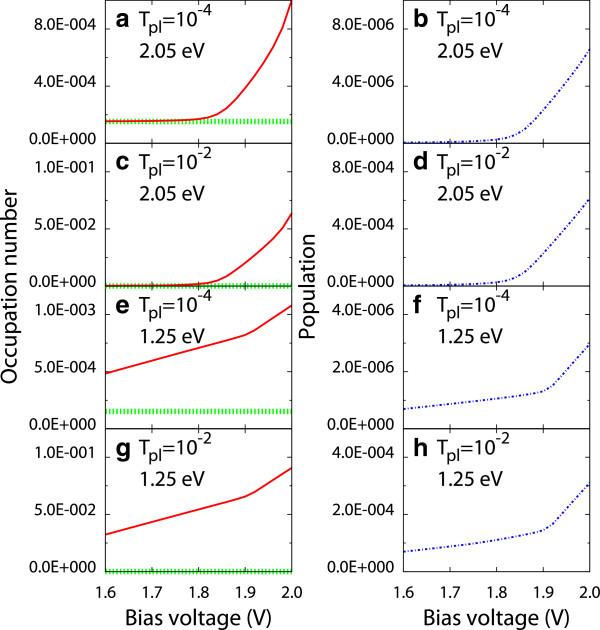
: We investigate the effects of coupling between a molecular exciton, which consists of an electron and a hole in a molecule, and a surface plasmon (exciton-plasmon coupling) on the electron transitions of the molecule using nonequilibrium Green's function method. Due to the exciton-plasmon coupling, excitation channels of the molecule arise in the energy range lower than the electronic excitation energy of the molecule. It is found that the electron transitions via these excitation channels give rise to the molecular luminescence and the vibrational excitations at the bias voltage lower than the electronic excitation energy of the molecule. Our results also indicate that the vibrational excitations assist the emission of photons, whose energy exceeds the product of the elementary charge and the bias voltage, (upconverted luminescence).
我们使用非平衡格林函数方法研究了分子激子(分子中的电子和空穴)与表面等离激元(激子-等离激元耦合)之间的耦合对分子电子跃迁的影响。由于激子-等离激元耦合,分子的激发通道出现在低于分子电子激发能的能量范围内。结果发现,通过这些激发通道的电子跃迁会导致分子发光和分子振动激发,而偏置电压低于分子的电子激发能。我们的结果还表明,振动激发有助于发射光子,其能量超过元电荷与偏置电压的乘积(上转换发光)。