Institut National de la Santé et de la Recherche Médicale, UMR 1009, Equipe labellisée Ligue Contre le Cancer, Laboratoire d'Excellence GR-Ex.114 rue Edouard Vaillant, 94805 Villejuif, France.
Cell Death Dis. 2013 Jul 25;4(7):e738. doi: 10.1038/cddis.2013.260.
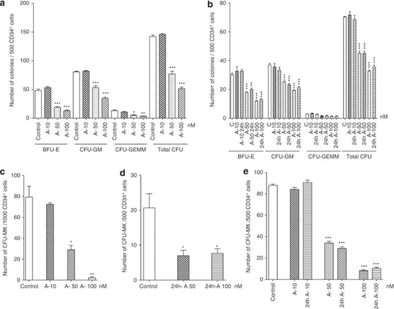
Abexinostat is a pan histone deacetylase inhibitor (HDACi) that demonstrates efficacy in malignancy treatment. Like other HDACi, this drug induces a profound thrombocytopenia whose mechanism is only partially understood. We have analyzed its effect at doses reached in patient plasma on in vitro megakaryopoiesis derived from human CD34(+) cells. When added at day 0 in culture, abexinostat inhibited CFU-MK growth, megakaryocyte (MK) proliferation and differentiation. These effects required only a short incubation period. Decreased proliferation was due to induction of apoptosis and was not related to a defect in TPO/MPL/JAK2/STAT signaling. When added later (day 8), the compound induced a dose-dependent decrease (up to 10-fold) in proplatelet (PPT) formation. Gene profiling from MK revealed a silencing in the expression of DNA repair genes with a marked RAD51 decrease at protein level. DNA double-strand breaks were increased as attested by elevated γH2AX phosphorylation level. Moreover, ATM was phosphorylated leading to p53 stabilization and increased BAX and p21 expression. The use of a p53 shRNA rescued apoptosis, and only partially the defect in PPT formation. These results suggest that HDACi induces a thrombocytopenia by a p53-dependent mechanism along MK differentiation and a p53-dependent and -independent mechanism for PPT formation.
阿贝西利是一种泛组蛋白去乙酰化酶抑制剂(HDACi),在恶性肿瘤治疗中显示出疗效。与其他 HDACi 一样,该药物会引起严重的血小板减少症,其机制尚未完全阐明。我们分析了在患者血浆中达到的剂量对源自人 CD34+细胞的体外巨核细胞生成的影响。当在培养的第 0 天添加时,阿贝西利抑制 CFU-MK 生长、巨核细胞(MK)增殖和分化。这些作用只需要很短的孵育时间。增殖减少是由于诱导细胞凋亡引起的,与 TPO/MPL/JAK2/STAT 信号传导缺陷无关。当后期(第 8 天)添加时,该化合物诱导剂量依赖性的原血小板(PPT)形成减少(高达 10 倍)。来自 MK 的基因谱分析显示,DNA 修复基因的表达沉默,蛋白水平的 RAD51 明显减少。双链 DNA 断裂增加,如 γH2AX 磷酸化水平升高所证明。此外,ATM 磷酸化导致 p53 稳定,并增加 BAX 和 p21 的表达。使用 p53 shRNA 挽救了细胞凋亡,但仅部分挽救了 PPT 形成缺陷。这些结果表明,HDACi 通过沿 MK 分化的 p53 依赖性机制和 PPT 形成的 p53 依赖性和非依赖性机制引起血小板减少症。