Suppr超能文献

巴西亚马孙东部异质传播区疟疾病媒的夜间叮咬周期。

Nightly biting cycles of malaria vectors in a heterogeneous transmission area of eastern Amazonian Brazil.

机构信息

Florida Medical Entomology Laboratory, University of Florida/IFAS, Vero Beach, Florida, USA.

出版信息

Malar J. 2013 Jul 26;12:262. doi: 10.1186/1475-2875-12-262.

Abstract

BACKGROUND

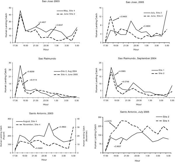
The biting cycle of anopheline mosquitoes is an important component in the transmission of malaria. Inter- and intraspecific biting patterns of anophelines have been investigated using the number of mosquitoes caught over time to compare general tendencies in host-seeking activity and cumulative catch. In this study, all-night biting catch data from 32 consecutive months of collections in three riverine villages were used to compare biting cycles of the five most abundant vector species using common statistics to quantify variability and deviations of nightly catches from a normal distribution.

METHODS

Three communities were selected for study. All-night human landing catches of mosquitoes were made each month in the peridomestic environment of four houses (sites) for nine consecutive days from April 2003 to November 2005. Host-seeking activities of the five most abundant species that were previously captured infected with Plasmodium falciparum, Plasmodium malariae or Plasmodium vivax, were analysed and compared by measuring the amount of variation in numbers biting per unit time (co-efficient of variation, V), the degree to which the numbers of individuals per unit time were asymmetrical (skewness = g1) and the relative peakedness or flatness of the distribution (kurtosis = g2). To analyse variation in V, g1, and g2 within species and villages, we used mixed model nested ANOVAs (PROC GLM in SAS) with independent variables (sources of variation): year, month (year), night (year X month) and collection site (year X month).

RESULTS

The biting cycles of the most abundant species, Anopheles darlingi, had the least pronounced biting peaks, the lowest mean V values, and typically non-significant departures from normality in g1 and g2. By contrast, the species with the most sharply defined crepuscular biting peaks, Anopheles marajoara, Anopheles nuneztovari and Anopheles triannulatus, showed high to moderate mean V values and, most commonly, significantly positive skewness (g1) and kurtosis (g2) moments. Anopheles intermedius was usually, but not always, crepuscular in host seeking, and showed moderate mean V values and typically positive skewness and kurtosis. Among sites within villages, significant differences in frequencies of departures from normality (g1 and g2) were detected for An. marajoara and An. darlingi, suggesting that local environments, such as host availability, may affect the shape of biting pattern curves of these two species.

CONCLUSIONS

Analyses of co-efficients of variation, skewness and kurtosis facilitated quantitative comparisons of host-seeking activity patterns that differ among species, sites, villages, and dates. The variable and heterogeneous nightly host-seeking behaviours of the five exophilic vector species contribute to the maintenance of stable malaria transmission in these Amazonian villages. The abundances of An. darlingi and An. marajoara, their propensities to seek hosts throughout the night, and their ability to adapt host-seeking behaviour to local environments, contribute to their impact as the most important of these vector species.

摘要

背景

按蚊的叮咬周期是疟疾传播的一个重要组成部分。已经使用随时间捕获的蚊子数量来研究按蚊的种间和种内叮咬模式,以比较宿主寻求活动的一般趋势和累积捕获量。在这项研究中,使用了 32 个月的连续采集数据,比较了 32 个月的采集数据,比较了 5 种最丰富的媒介物种的叮咬周期,使用常见的统计方法来量化夜间捕获量与正态分布的变异性和偏差。

方法

选择了三个社区进行研究。2003 年 4 月至 2005 年 11 月,在 9 天的时间里,每晚在 4 户(站点)的家庭周围环境中进行全夜人的降落捕获。分析了以前捕获的感染恶性疟原虫、间日疟原虫或间日疟原虫的五种最丰富的物种的宿主寻找活动,并通过测量每单位时间内叮咬的数量变化(变异系数,V)、每单位时间内个体数量的不对称程度(偏度= g1)和分布的相对峰度或平坦度(峰度= g2)来进行比较。为了分析种内和村内 V、g1 和 g2 的变化,我们使用了具有独立变量(变异源)的混合模型嵌套方差分析(PROC GLM 在 SAS 中):年、月(年)、夜(年 X 月)和采集地点(年 X 月)。

结果

最丰富的物种,如 Anopheles darlingi,其叮咬周期的峰值最不明显,平均 V 值最低,g1 和 g2 通常没有显著的正态分布偏差。相比之下,具有最明显的黄昏叮咬高峰的物种,如 Anopheles marajoara、Anopheles nuneztovari 和 Anopheles triannulatus,具有高至中等的平均 V 值,并且最常见的是显著的正偏度(g1)和峰度(g2)。Anopheles intermedius 通常是黄昏时的宿主寻找者,但并不总是如此,它具有中等的平均 V 值,并且通常具有正偏度和峰度。在村内各地点之间,An. marajoara 和 An. darlingi 的正态分布偏离频率(g1 和 g2)存在显著差异,这表明当地环境(如宿主的可利用性)可能会影响这两个物种的叮咬模式曲线的形状。

结论

变异系数、偏度和峰度的分析有助于对不同物种、地点、村庄和日期之间的宿主寻求活动模式进行定量比较。五种嗜人按蚊的夜间宿主寻找行为具有可变性和异质性,这有助于维持这些亚马逊村庄的稳定疟疾传播。An. darlingi 和 An. marajoara 的丰度、它们整晚寻找宿主的倾向以及它们适应当地环境的宿主寻求行为的能力,使其成为这些媒介物种中最重要的物种。

https://cdn.ncbi.nlm.nih.gov/pmc/blobs/9311/3729824/2c21f7e1c37f/1475-2875-12-262-1.jpg

文献AI研究员

20分钟写一篇综述,助力文献阅读效率提升50倍。

立即体验

用中文搜PubMed

大模型驱动的PubMed中文搜索引擎

马上搜索

文档翻译

学术文献翻译模型,支持多种主流文档格式。

立即体验