Suppr超能文献

一种去甲氧基藏红花素衍生物在雌激素阳性 MCF-7 乳腺癌细胞中的细胞毒性和凋亡诱导作用。

Cytotoxicity and apoptosis induced by a plumbagin derivative in estrogen positive MCF-7 breast cancer cells.

机构信息

Computational Bioscience Research Center (CBRC), Building 2, Level 4, R-4336, King Abdullah University of Science and Technology (KAUST), Thuwal- 23955-6900, Kingdom of Saudi Arabia.

出版信息

Anticancer Agents Med Chem. 2014 Jan;14(1):170-80. doi: 10.2174/18715206113136660369.

Abstract

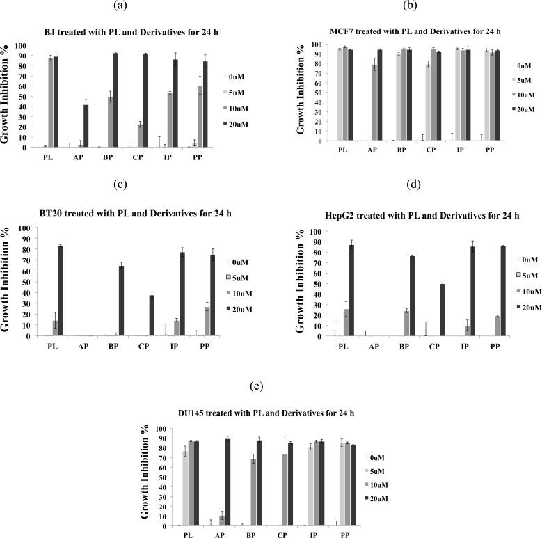
Plumbagin [5-hydroxy- 2-methyl-1, 4-naphthaquinone] is a well-known plant derived anticancer lead compound. Several efforts have been made to synthesize its analogs and derivatives in order to increase its anticancer potential. In the present study, plumbagin and its five derivatives have been evaluated for their antiproliferative potential in one normal and four human cancer cell lines. Treatment with derivatives resulted in dose- and time-dependent inhibition of growth of various cancer cell lines. Prescreening of compounds led us to focus our further investigations on acetyl plumbagin, which showed remarkably low toxicity towards normal BJ cells and HepG2 cells. The mechanisms of apoptosis induction were determined by APOPercentage staining, caspase-3/7 activation, reactive oxygen species production and cell cycle analysis. The modulation of apoptotic genes (p53, Mdm2, NF-kB, Bad, Bax, Bcl-2 and Casp-7) was also measured using real time PCR. The positive staining using APOPercentage dye, increased caspase-3/7 activity, increased ROS production and enhanced mRNA expression of proapoptotic genes suggested that acetyl plumbagin exhibits anticancer effects on MCF-7 cells through its apoptosis-inducing property. A key highlighting point of the study is low toxicity of acetyl plumbagin towards normal BJ cells and negligible hepatotoxicity (data based on HepG2 cell line). Overall results showed that acetyl plumbagin with reduced toxicity might have the potential to be a new lead molecule for testing against estrogen positive breast cancer.

摘要

白花丹素(5-羟基-2-甲基-1,4-萘醌)是一种广为人知的植物来源抗癌先导化合物。为了提高其抗癌潜力,人们已经进行了多次合成其类似物和衍生物的努力。在本研究中,评估了白花丹素及其五种衍生物在一种正常细胞和四种人类癌细胞系中的抗增殖潜力。衍生物处理导致各种癌细胞系的生长呈剂量和时间依赖性抑制。化合物的预筛选使我们将进一步的研究重点放在乙酰白花丹素上,它对正常 BJ 细胞和 HepG2 细胞表现出明显较低的毒性。通过 APOPercentage 染色、caspase-3/7 激活、活性氧(ROS)产生和细胞周期分析确定了诱导细胞凋亡的机制。还使用实时 PCR 测量了凋亡基因(p53、Mdm2、NF-kB、Bad、Bax、Bcl-2 和 Casp-7)的调节。APOPercentage 染料的阳性染色、caspase-3/7 活性增加、ROS 产生增加以及促凋亡基因的 mRNA 表达增强表明,乙酰白花丹素通过诱导细胞凋亡对 MCF-7 细胞发挥抗癌作用。该研究的一个重要亮点是乙酰白花丹素对正常 BJ 细胞的低毒性和对 HepG2 细胞系的可忽略不计的肝毒性。总体结果表明,毒性降低的乙酰白花丹素可能具有成为测试针对雌激素阳性乳腺癌的新先导分子的潜力。

https://cdn.ncbi.nlm.nih.gov/pmc/blobs/4640/3894702/bed264ac6dad/ACAMC-14-170_F1.jpg

文献AI研究员

20分钟写一篇综述,助力文献阅读效率提升50倍。

立即体验

用中文搜PubMed

大模型驱动的PubMed中文搜索引擎

马上搜索

文档翻译

学术文献翻译模型,支持多种主流文档格式。

立即体验