Suppr超能文献

个性化抗血小板治疗:现状

Personalized antiplatelet therapy: state of the art.

作者信息

Gurbel Paul A, Jeong Young-Hoon, Tantry Udaya S

机构信息

Sinai Center for Thrombosis Research , Baltimore, MD , USA.

出版信息

JRSM Cardiovasc Dis. 2012 Sep 24;1(6):cvd.2012.012015. doi: 10.1258/cvd.2012.012015.

Abstract

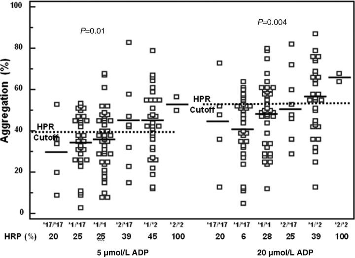
Overwhelming evidence exists that thrombus generation resulting from platelet activation and aggregation is the primary process involved in the occurrence of the myocardial infarction and stent thrombosis. Despite the proven clinical efficacy of dual antiplatelet therapy, wide antiplatelet response variability associated with clopidogrel therapy was demonstrated in pharmacodynamic studies where approximately one in three patients exhibited high on-treatment platelet reactivity (HPR). Generally, physicians do not objectively assess the intensity of the adenosine diphosphate-P2Y12 interaction in their high-risk patients treated with clopidogrel. Instead most clinicians use a non-selective or one-size-fits-all approach. HPR and CYP2C19 LoF carriage are associated with clinical outcomes in high-risk clopidogrel-treated patients who have undergone percutaneous coronary intervention (PCI). Although we do not yet have conclusive evidence from a large-scale randomized trial that personalized antiplatelet therapy improves patient outcomes, a class IIb recommendation has been given in the guidelines to perform genotyping or phenotyping in high-risk PCI patients if a change in antiplatelet therapy will ensue based on the test results. It may be reasonable at this time to assess platelet function and perform genotyping in clopidogrel-treated high-risk patients and treat with more potent P2Y12 receptor therapy selectively.

摘要

大量证据表明,由血小板激活和聚集导致的血栓形成是心肌梗死和支架血栓形成发生的主要过程。尽管双重抗血小板治疗已被证实具有临床疗效,但在药效学研究中发现,与氯吡格雷治疗相关的抗血小板反应存在很大差异,约三分之一的患者表现出高治疗期血小板反应性(HPR)。一般来说,医生在治疗接受氯吡格雷的高危患者时,不会客观评估二磷酸腺苷与P2Y12相互作用的强度。相反,大多数临床医生采用非选择性或一刀切的方法。HPR和CYP2C19功能缺失携带者与接受经皮冠状动脉介入治疗(PCI)的高危氯吡格雷治疗患者的临床结局相关。虽然我们尚未从大规模随机试验中获得确凿证据证明个性化抗血小板治疗能改善患者结局,但指南已给出IIb类推荐,即如果基于检测结果抗血小板治疗会发生改变,则对高危PCI患者进行基因分型或表型分析。目前,对接受氯吡格雷治疗的高危患者评估血小板功能并进行基因分型,然后选择性地采用更强效的P2Y12受体治疗可能是合理的。

https://cdn.ncbi.nlm.nih.gov/pmc/blobs/f0a6/3738365/7aac1b4b3a2b/10.1258_cvd.2012.012015-fig1.jpg

文献AI研究员

20分钟写一篇综述,助力文献阅读效率提升50倍。

立即体验

用中文搜PubMed

大模型驱动的PubMed中文搜索引擎

马上搜索

文档翻译

学术文献翻译模型,支持多种主流文档格式。

立即体验