Suppr超能文献

随机粗糙表面的接触刚度

Contact stiffness of randomly rough surfaces.

作者信息

Pohrt Roman, Popov Valentin L

机构信息

Technische Universität Berlin, Sekr. C8-4, Str. des 17. Juni 135, 10623 Berlin, Germany.

出版信息

Sci Rep. 2013 Nov 21;3:3293. doi: 10.1038/srep03293.

Abstract

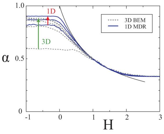
We investigate the contact stiffness of an elastic half-space and a rigid indenter with randomly rough surface having a power spectrum C2D(q)proportional q(-2H-2), where q is the wave vector. The range of H[symbol: see text] is studied covering a wide range of roughness types from white noise to smooth single asperities. At low forces, the contact stiffness is in all cases a power law function of the normal force with an exponent α. For H > 2, the simple Hertzian behavior is observed . In the range of 0 < H < 2, the Pohrt-Popov behavior is valid (). For H < 0, a power law with a constant power of approximately 0.9 is observed, while the exact value depends on the number of modes used to produce the rough surface. Interpretation of the three regions is given both in the frame of the three dimensional contact mechanics and the method of dimensionality reduction (MDR). The influence of the long wavelength roll-off is investigated and discussed.

摘要

我们研究了弹性半空间与具有随机粗糙表面的刚性压头之间的接触刚度,该粗糙表面的功率谱(C_{2D}(q))与(q^{(-2H - 2)})成正比,其中(q)是波矢。研究了(H)的取值范围,涵盖从白噪声到光滑单峰等广泛的粗糙度类型。在低力作用下,接触刚度在所有情况下都是法向力的幂律函数,指数为(\alpha)。当(H > 2)时,观察到简单的赫兹行为。在(0 < H < 2)范围内,波特 - 波波夫行为有效。当(H < 0)时,观察到幂次约为(0.9)的幂律,而确切值取决于用于生成粗糙表面的模式数量。在三维接触力学框架和降维方法(MDR)中都给出了对这三个区域的解释。研究并讨论了长波长滚降的影响。

https://cdn.ncbi.nlm.nih.gov/pmc/blobs/7d51/3836042/ead891e0e665/srep03293-f1.jpg

相似文献

1
Contact stiffness of randomly rough surfaces.
Sci Rep. 2013 Nov 21;3:3293. doi: 10.1038/srep03293.
2
Interfacial contact stiffness of fractal rough surfaces.
Sci Rep. 2017 Oct 9;7(1):12874. doi: 10.1038/s41598-017-13314-2.
3
Normal contact stiffness of elastic solids with fractal rough surfaces for one- and three-dimensional systems.
Phys Rev E Stat Nonlin Soft Matter Phys. 2012 Aug;86(2 Pt 2):026710. doi: 10.1103/PhysRevE.86.026710. Epub 2012 Aug 20.
4
The deformation and adhesion of randomly rough and patterned surfaces.
J Phys Chem B. 2006 Jun 22;110(24):11884-93. doi: 10.1021/jp0602880.
6
Normal contact stiffness of elastic solids with fractal rough surfaces.
Phys Rev Lett. 2012 Mar 9;108(10):104301. doi: 10.1103/PhysRevLett.108.104301. Epub 2012 Mar 5.
8
Adhesive contact of rough brushes.
Beilstein J Nanotechnol. 2018 Sep 7;9:2405-2412. doi: 10.3762/bjnano.9.225. eCollection 2018.
9
Penetration of self-affine fractal rough rigid bodies into a model elastomer having a linear viscous rheology.
Phys Rev E Stat Nonlin Soft Matter Phys. 2013 Apr;87(4):042802. doi: 10.1103/PhysRevE.87.042802. Epub 2013 Apr 2.
10
Dynamic wetting and spreading and the role of topography.
J Phys Condens Matter. 2009 Nov 18;21(46):464122. doi: 10.1088/0953-8984/21/46/464122. Epub 2009 Oct 29.

引用本文的文献

1
evaluation of contact stiffness in a slip interface with different roughness conditions using ultrasound reflectometry.
Proc Math Phys Eng Sci. 2021 Nov;477(2255):20210442. doi: 10.1098/rspa.2021.0442. Epub 2021 Nov 10.
2
On the stiffness of surfaces with non-Gaussian height distribution.
Sci Rep. 2021 Jan 21;11(1):1863. doi: 10.1038/s41598-021-81259-8.
3
Interfacial contact stiffness of fractal rough surfaces.
Sci Rep. 2017 Oct 9;7(1):12874. doi: 10.1038/s41598-017-13314-2.
4
Partial-slip frictional response of rough surfaces.
Sci Rep. 2014 Jun 5;4:5178. doi: 10.1038/srep05178.

本文引用的文献

1
Finite-size scaling in the interfacial stiffness of rough elastic contacts.
Phys Rev E Stat Nonlin Soft Matter Phys. 2013 Jun;87(6):062809. doi: 10.1103/PhysRevE.87.062809. Epub 2013 Jun 18.
2
Normal contact stiffness of elastic solids with fractal rough surfaces.
Phys Rev Lett. 2012 Mar 9;108(10):104301. doi: 10.1103/PhysRevLett.108.104301. Epub 2012 Mar 5.
3
Stiffness of contacts between rough surfaces.
Phys Rev Lett. 2011 May 20;106(20):204301. doi: 10.1103/PhysRevLett.106.204301.
4
Transverse and normal interfacial stiffness of solids with randomly rough surfaces.
J Phys Condens Matter. 2011 Mar 2;23(8):085001. doi: 10.1088/0953-8984/23/8/085001. Epub 2011 Feb 3.

文献AI研究员

20分钟写一篇综述,助力文献阅读效率提升50倍。

立即体验

用中文搜PubMed

大模型驱动的PubMed中文搜索引擎

马上搜索

文档翻译

学术文献翻译模型,支持多种主流文档格式。

立即体验