Roselli Mario, Cereda Vittore, di Bari Maria Giovanna, Formica Vincenzo, Spila Antonella, Jochems Caroline, Farsaci Benedetto, Donahue Renee, Gulley James L, Schlom Jeffrey, Guadagni Fiorella
Medical Oncology; Department of Internal Medicine; Tor Vergata University Clinical Center; University of Rome Tor Vergata; Rome, Italy.
Interinstitutional Multidisciplinary Biobank (BioBIM); Department of Laboratory Medicine and Advanced Biotechnologies; IRCCS San Raffaele Pisana; Rome, Italy.
Oncoimmunology. 2013 Oct 1;2(10):e27025. doi: 10.4161/onci.27025.
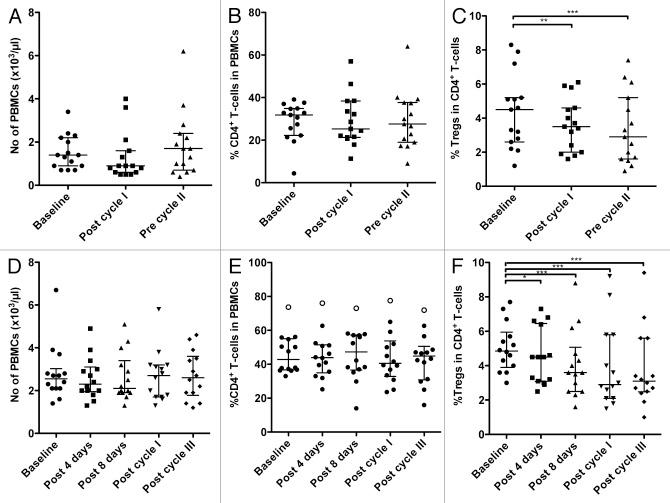
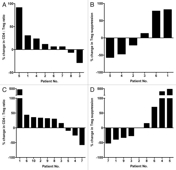
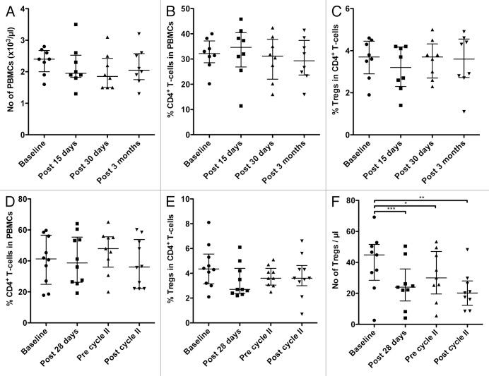
Several lines of investigation have revealed the apparent interplay between the immune system of the host and many conventional, "standard-of-care" anticancer therapies, including chemotherapy and small molecule targeted therapeutics. In particular, preclinical and clinical studies have demonstrated the important role of regulatory T cells (Tregs) in inhibiting immune responses elicited by immunotherapeutic regimens such as those based on anticancer vaccines or checkpoint inhibitors. However, how the number and immunosuppressive function of Tregs change in cancer patients undergoing treatment with non-immune anticancer therapies remains to be precisely elucidated. To determine whether immunostimulatory therapies can be employed successfully in combination with conventional anticancer regimens, we have investigated both the number and function of Tregs obtained from the peripheral blood of carcinoma patients before the initiation and during the course of chemotherapeutic and targeted agent regimens. Our studies show that the treatment of breast cancer patients with tamoxifen plus leuprolide, a gonadotropin releasing hormone agonist, has minimal effects on Tregs, while sunitinib appears to exert differential effects on Tregs among patients with metastatic renal carcinoma. However, the administration of docetaxel to patients with metastatic prostate or breast cancer, as well as that of cisplatin plus vinorelbine to non-small cell lung cancer patients, appears to significantly increase the ratio between effector T cells and Tregs and to reduce the immunosuppressive activity of the latter in the majority of patients. These studies provide the rationale for the selective use of active immunotherapy regimens in combination with specific standard-of-care therapies to achieve the most beneficial clinical outcome among carcinoma patients.
多项研究表明,宿主免疫系统与许多传统的“标准护理”抗癌疗法之间存在明显的相互作用,这些疗法包括化疗和小分子靶向疗法。特别是,临床前和临床研究已证明调节性T细胞(Tregs)在抑制免疫治疗方案(如基于抗癌疫苗或检查点抑制剂的方案)引发的免疫反应中起重要作用。然而,在接受非免疫抗癌疗法治疗的癌症患者中,Tregs的数量和免疫抑制功能如何变化仍有待确切阐明。为了确定免疫刺激疗法是否能成功地与传统抗癌方案联合使用,我们研究了从癌患者外周血中获取的Tregs在化疗和靶向药物治疗开始前及治疗过程中的数量和功能。我们的研究表明,他莫昔芬联合促性腺激素释放激素激动剂亮丙瑞林治疗乳腺癌患者对Tregs的影响最小,而舒尼替尼对转移性肾癌患者的Tregs似乎有不同的影响。然而,多西他赛用于转移性前列腺癌或乳腺癌患者,以及顺铂加长春瑞滨用于非小细胞肺癌患者,在大多数患者中似乎显著增加了效应T细胞与Tregs的比例,并降低了后者的免疫抑制活性。这些研究为选择性地将主动免疫治疗方案与特定的标准护理疗法联合使用,以在癌症患者中实现最有益的临床结果提供了理论依据。