Failli Alessandra, Legitimo Annalisa, Migheli Francesca, Coppedè Fabio, Mathers John C, Spisni Roberto, Miccoli Paolo, Migliore Lucia, Consolini Rita
Department of Clinical and Experimental Medicine, University of Pisa, Pisa 56126, Italy.
Int J Mol Sci. 2013 Dec 20;15(1):44-57. doi: 10.3390/ijms15010044.
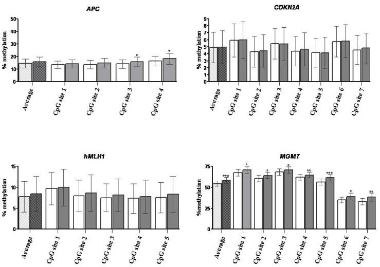
The aim of this work was to assess the impact on measurements of methylation of a panel of four cancer gene promoters of purifying tumor cells from colorectal tissue samples using the epithelial cell adhesion molecule (EpCAM)-immunomagnetic cell enrichment approach. We observed that, on average, methylation levels were higher in enriched cell fractions than in the whole tissue, but the difference was significant only for one out of four studied genes. In addition, there were strong correlations between methylation values for individual samples of whole tissue and the corresponding enriched cell fractions. Therefore, assays on whole tissue are likely to provide reliable estimates of tumor-specific methylation of cancer genes. However, tumor cell tissue separation using immunomagnetic beads could, in some cases, give a more accurate value of gene promoter methylation than the analysis of the whole cancer tissue, although relatively expensive and time-consuming. The efficacy and feasibility of the immunomagnetic cell sorting for methylation studies are discussed.
这项工作的目的是评估使用上皮细胞粘附分子(EpCAM)免疫磁珠细胞富集方法从结直肠组织样本中纯化肿瘤细胞对一组四个癌症基因启动子甲基化测量的影响。我们观察到,平均而言,富集细胞组分中的甲基化水平高于全组织中的甲基化水平,但差异仅在四个研究基因中的一个基因上具有统计学意义。此外,全组织单个样本与相应富集细胞组分的甲基化值之间存在强相关性。因此,对全组织进行检测可能会提供癌症基因肿瘤特异性甲基化的可靠估计。然而,使用免疫磁珠进行肿瘤细胞与组织的分离,在某些情况下,可能比分析整个癌组织能给出更准确的基因启动子甲基化值,尽管该方法相对昂贵且耗时。本文还讨论了免疫磁珠细胞分选用于甲基化研究的有效性和可行性。