Suppr超能文献

受声振荡作用的预混火焰的行为。

Behaviour of a premixed flame subjected to acoustic oscillations.

作者信息

Qureshi Shafiq R, Khan Waqar A, Prosser Robert

机构信息

Engineering Sciences Department, Pakistan Navy Engineering College, National University of Sciences and Technology, Karachi, Pakistan.

School of MACE, University of Manchester, Manchester, United Kingdom.

出版信息

PLoS One. 2013 Dec 20;8(12):e81659. doi: 10.1371/journal.pone.0081659. eCollection 2013.

Abstract

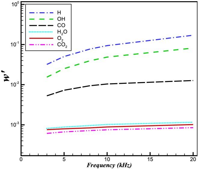
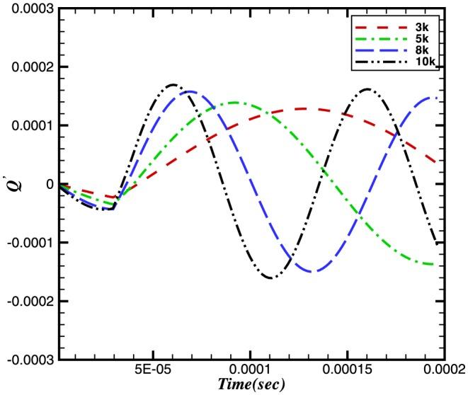
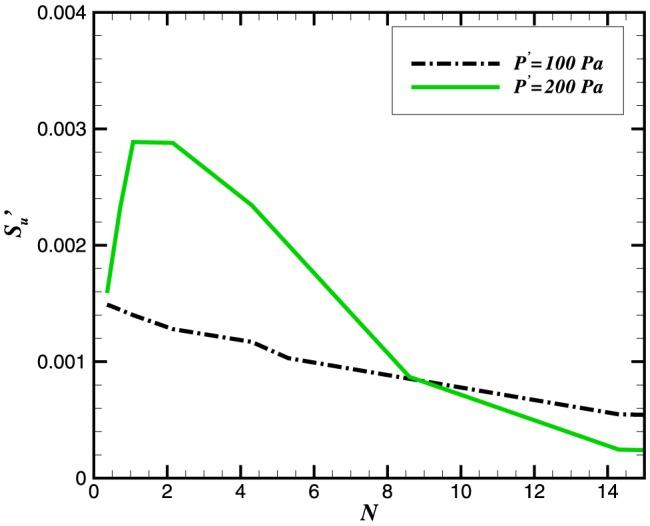
In this paper, a one dimensional premixed laminar methane flame is subjected to acoustic oscillations and studied. The purpose of this analysis is to investigate the effects of acoustic perturbations on the reaction rates of different species, with a view to their respective contribution to thermoacoustic instabilities. Acoustically transparent non reflecting boundary conditions are employed. The flame response has been studied with acoustic waves of different frequencies and amplitudes. The integral values of the reaction rates, the burning velocities and the heat release of the acoustically perturbed flame are compared with the unperturbed case. We found that the flame's sensitivity to acoustic perturbations is greatest when the wavelength is comparable to the flame thickness. Even in this case, the perturbations are stable with time. We conclude that acoustic fields acting on the chemistry do not contribute significantly to the emergence of large amplitude pressure oscillations.

摘要

本文对一维预混层流甲烷火焰施加声学振荡并进行研究。该分析的目的是研究声学扰动对不同物种反应速率的影响,以了解它们对热声不稳定性的各自贡献。采用了声学透明的非反射边界条件。研究了不同频率和振幅声波作用下的火焰响应。将受声学扰动火焰的反应速率、燃烧速度和热释放的积分值与未受扰动的情况进行了比较。我们发现,当波长与火焰厚度可比时,火焰对声学扰动的敏感性最大。即使在这种情况下,扰动随时间也是稳定的。我们得出结论,作用于化学反应的声场对大幅压力振荡的出现贡献不大。

https://cdn.ncbi.nlm.nih.gov/pmc/blobs/95f1/3869654/fd8107837c6c/pone.0081659.g001.jpg

文献AI研究员

20分钟写一篇综述,助力文献阅读效率提升50倍。

立即体验

用中文搜PubMed

大模型驱动的PubMed中文搜索引擎

马上搜索

文档翻译

学术文献翻译模型,支持多种主流文档格式。

立即体验