• 文献检索
  • 文档翻译
  • 深度研究
  • 学术资讯
  • Suppr Zotero 插件Zotero 插件
  • 邀请有礼
  • 套餐&价格
  • 历史记录
应用&插件
Suppr Zotero 插件Zotero 插件浏览器插件Mac 客户端Windows 客户端微信小程序
定价
高级版会员购买积分包购买API积分包
服务
文献检索文档翻译深度研究API 文档MCP 服务
关于我们
关于 Suppr公司介绍联系我们用户协议隐私条款
关注我们

Suppr 超能文献

核心技术专利:CN118964589B侵权必究
粤ICP备2023148730 号-1Suppr @ 2026

文献检索

告别复杂PubMed语法,用中文像聊天一样搜索,搜遍4000万医学文献。AI智能推荐,让科研检索更轻松。

立即免费搜索

文件翻译

保留排版,准确专业,支持PDF/Word/PPT等文件格式,支持 12+语言互译。

免费翻译文档

深度研究

AI帮你快速写综述,25分钟生成高质量综述,智能提取关键信息,辅助科研写作。

立即免费体验

西班牙患者脑海绵状血管畸形基因的突变患病率

Mutation prevalence of cerebral cavernous malformation genes in Spanish patients.

作者信息

Mondéjar Rufino, Solano Francisca, Rubio Rocío, Delgado Mercedes, Pérez-Sempere Angel, González-Meneses Antonio, Vendrell Teresa, Izquierdo Guillermo, Martinez-Mir Amalia, Lucas Miguel

机构信息

Servicio de Biología Molecular, Hospital Universitario Virgen Macarena, Facultad de Medicina, Sevilla, Spain.

Servicio de Neurología, Hospital Universitario de Alicante, Alicante, Spain.

出版信息

PLoS One. 2014 Jan 23;9(1):e86286. doi: 10.1371/journal.pone.0086286. eCollection 2014.

DOI:10.1371/journal.pone.0086286
PMID:24466005
原文链接:https://pmc.ncbi.nlm.nih.gov/articles/PMC3900513/
Abstract

OBJECTIVE

To study the molecular genetic and clinical features of cerebral cavernous malformations (CCM) in a cohort of Spanish patients.

METHODS

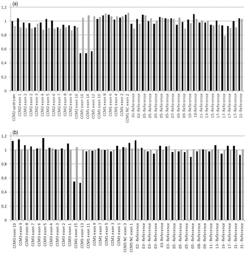
We analyzed the CCM1, CCM2, and CCM3 genes by MLPA and direct sequencing of exons and intronic boundaries in 94 familial forms and 41 sporadic cases of CCM patients of Spanish extraction. When available, RNA studies were performed seeking for alternative or cryptic splicing.

RESULTS

A total of 26 pathogenic mutations, 22 of which predict truncated proteins, were identified in 29 familial forms and in three sporadic cases. The repertoire includes six novel non-sense and frameshift mutations in CCM1 and CCM3. We also found four missense mutations, one of them located at the third NPXY motif of CCM1 and another one that leads to cryptic splicing of CCM1 exon 6. We found four genomic deletions with the loss of the whole CCM2 gene in one patient and a partial loss of CCM1and CCM2 genes in three other patients. Four families had mutations in CCM3. The results include a high frequency of intronic variants, although most of them localize out of consensus splicing sequences. The main symptoms associated to clinical debut consisted of cerebral haemorrhage, migraines and epileptic seizures. The rare co-occurrence of CCM with Noonan and Chiari syndromes and delayed menarche is reported.

CONCLUSIONS

Analysis of CCM genes by sequencing and MLPA has detected mutations in almost 35% of a Spanish cohort (36% of familial cases and 10% of sporadic patients). The results include 13 new mutations of CCM genes and the main clinical symptoms that deserves consideration in molecular diagnosis and genetic counselling of cerebral cavernous malformations.

摘要

目的

研究一组西班牙患者脑海绵状血管畸形(CCM)的分子遗传学及临床特征。

方法

我们采用多重连接探针扩增技术(MLPA)以及对94例家族性病例和41例西班牙裔散发CCM患者的外显子及内含子边界进行直接测序,分析CCM1、CCM2和CCM3基因。如有可能,进行RNA研究以寻找替代或隐匿性剪接。

结果

在29例家族性病例和3例散发病例中,共鉴定出26个致病突变,其中22个预测会产生截短蛋白。该突变谱包括CCM1和CCM3中的6个新的无义突变和移码突变。我们还发现了4个错义突变,其中1个位于CCM1的第三个NPXY基序,另1个导致CCM1外显子6的隐匿性剪接。我们发现1例患者存在整个CCM2基因缺失的4个基因组缺失,另外3例患者存在CCM1和CCM2基因部分缺失。4个家族的CCM3存在突变。结果显示内含子变异频率较高,尽管其中大多数位于共有剪接序列之外。临床首发的主要症状包括脑出血、偏头痛和癫痫发作。报告了CCM与努南综合征和Chiari综合征罕见的共现情况以及初潮延迟。

结论

通过测序和MLPA分析CCM基因,在一组西班牙患者中检测到近35%的突变(家族性病例中为36%,散发性患者中为10%)。研究结果包括CCM基因的13个新突变以及脑海绵状血管畸形分子诊断和遗传咨询中值得考虑的主要临床症状。

https://cdn.ncbi.nlm.nih.gov/pmc/blobs/582d/3900513/502e74e6f6ea/pone.0086286.g003.jpg
https://cdn.ncbi.nlm.nih.gov/pmc/blobs/582d/3900513/1dd56542f467/pone.0086286.g001.jpg
https://cdn.ncbi.nlm.nih.gov/pmc/blobs/582d/3900513/2302442e6279/pone.0086286.g002.jpg
https://cdn.ncbi.nlm.nih.gov/pmc/blobs/582d/3900513/502e74e6f6ea/pone.0086286.g003.jpg
https://cdn.ncbi.nlm.nih.gov/pmc/blobs/582d/3900513/1dd56542f467/pone.0086286.g001.jpg
https://cdn.ncbi.nlm.nih.gov/pmc/blobs/582d/3900513/2302442e6279/pone.0086286.g002.jpg
https://cdn.ncbi.nlm.nih.gov/pmc/blobs/582d/3900513/502e74e6f6ea/pone.0086286.g003.jpg

相似文献

1
Mutation prevalence of cerebral cavernous malformation genes in Spanish patients.西班牙患者脑海绵状血管畸形基因的突变患病率
PLoS One. 2014 Jan 23;9(1):e86286. doi: 10.1371/journal.pone.0086286. eCollection 2014.
2
High-throughput sequencing of the entire genomic regions of CCM1/KRIT1, CCM2 and CCM3/PDCD10 to search for pathogenic deep-intronic splice mutations in cerebral cavernous malformations.对CCM1/KRIT1、CCM2和CCM3/PDCD10的整个基因组区域进行高通量测序,以寻找脑海绵状血管畸形中的致病性内含子深处剪接突变。
Eur J Med Genet. 2017 Sep;60(9):479-484. doi: 10.1016/j.ejmg.2017.06.007. Epub 2017 Jun 20.
3
Novel CCM1, CCM2, and CCM3 mutations in patients with cerebral cavernous malformations: in-frame deletion in CCM2 prevents formation of a CCM1/CCM2/CCM3 protein complex.脑海绵状血管畸形患者中的新型CCM1、CCM2和CCM3突变:CCM2中的框内缺失可阻止CCM1/CCM2/CCM3蛋白复合物的形成。
Hum Mutat. 2008 May;29(5):709-17. doi: 10.1002/humu.20712.
4
Genomic causes of multiple cerebral cavernous malformations in a Japanese population.日本人多发性脑内海绵状血管畸形的基因组病因。
J Clin Neurosci. 2013 May;20(5):667-9. doi: 10.1016/j.jocn.2012.05.041. Epub 2013 Feb 26.
5
Update on Novel CCM Gene Mutations in Patients with Cerebral Cavernous Malformations.脑海绵状血管畸形患者新型CCM基因突变的最新进展
J Mol Neurosci. 2017 Feb;61(2):189-198. doi: 10.1007/s12031-016-0863-z. Epub 2016 Dec 20.
6
[Gene mutations in patients with hereditary cavernous malformations].[遗传性海绵状血管畸形患者的基因突变]
Zh Nevrol Psikhiatr Im S S Korsakova. 2017;117(6):66-72. doi: 10.17116/jnevro20171176166-72.
7
Comprehensive analysis of Novel mutations in CCM1/KRIT1 and CCM2/MGC4607 and their clinical implications in Cerebral Cavernous malformations.全面分析 CCM1/KRIT1 和 CCM2/MGC4607 的新突变及其在脑海绵状血管畸形中的临床意义。
J Stroke Cerebrovasc Dis. 2024 Nov;33(11):107947. doi: 10.1016/j.jstrokecerebrovasdis.2024.107947. Epub 2024 Aug 23.
8
Relevance of CCM gene polymorphisms for clinical management of sporadic cerebral cavernous malformations.CCM 基因突变与散发性脑动静脉畸形临床处理的相关性。
J Neurol Sci. 2017 Sep 15;380:31-37. doi: 10.1016/j.jns.2017.06.043. Epub 2017 Jun 29.
9
Genetic Screening of Pediatric Cavernous Malformations.小儿海绵状血管畸形的基因筛查
J Mol Neurosci. 2016 Oct;60(2):232-8. doi: 10.1007/s12031-016-0806-8. Epub 2016 Aug 25.
10
Mutation analysis of CCM1, CCM2 and CCM3 genes in a cohort of Italian patients with cerebral cavernous malformation.一组意大利脑海绵状血管畸形患者中CCM1、CCM2和CCM3基因的突变分析
Brain Pathol. 2011 Mar;21(2):215-24. doi: 10.1111/j.1750-3639.2010.00441.x. Epub 2010 Oct 4.

引用本文的文献

1
Single-cell transcriptome profiling reveals dynamic cell populations and immune infiltration in cerebral cavernous malformation.单细胞转录组分析揭示了脑海绵状血管畸形中的动态细胞群和免疫浸润。
Front Immunol. 2025 May 30;16:1592343. doi: 10.3389/fimmu.2025.1592343. eCollection 2025.
2
Improving genetic diagnostic yield in familial and sporadic cerebral cavernous malformations: detection of copy number and deep Intronic variants.提高家族性和散发性脑海绵状血管畸形的基因诊断率:拷贝数和内含子深处变异的检测
Hum Mol Genet. 2025 Jul 20;34(15):1286-1293. doi: 10.1093/hmg/ddaf077.
3
The Genetics of Chiari 1 Malformation.

本文引用的文献

1
CCM molecular screening in a diagnosis context: novel unclassified variants leading to abnormal splicing and importance of large deletions.CCM 分子筛选在诊断中的应用:新型未分类变异导致异常剪接和大片段缺失的重要性。
Neurogenetics. 2013 May;14(2):133-41. doi: 10.1007/s10048-013-0362-0. Epub 2013 Apr 18.
2
The venous angioarchitecture of sporadic cerebral cavernous malformations: a susceptibility weighted imaging study at 7 T MRI.散发性脑动静脉畸形的静脉血管构筑:7T MRI 下的磁敏感加权成像研究。
J Neurol Neurosurg Psychiatry. 2013 Feb;84(2):194-200. doi: 10.1136/jnnp-2012-302599. Epub 2012 Oct 20.
3
CCM2 gene polymorphisms in Italian sporadic patients with cerebral cavernous malformation: a case-control study.
Chiari 1型畸形的遗传学
J Clin Med. 2024 Oct 16;13(20):6157. doi: 10.3390/jcm13206157.
4
Towards a neurocognitive profile in familial cerebral cavernous malformations.家族性脑静脉血管畸形的神经认知特征。
Acta Neurol Belg. 2024 Feb;124(1):49-54. doi: 10.1007/s13760-023-02314-x. Epub 2023 Jul 1.
5
Familial CCM Genes Might Not Be Main Drivers for Pathogenesis of Sporadic CCMs-Genetic Similarity between Cancers and Vascular Malformations.家族性脑静脉畸形基因可能不是散发性脑静脉畸形发病机制的主要驱动因素——癌症与血管畸形之间的遗传相似性。
J Pers Med. 2023 Apr 17;13(4):673. doi: 10.3390/jpm13040673.
6
Cas9-Mediated Nanopore Sequencing Enables Precise Characterization of Structural Variants in Genes.Cas9 介导的纳米孔测序可精确表征基因中的结构变异。
Int J Mol Sci. 2022 Dec 9;23(24):15639. doi: 10.3390/ijms232415639.
7
Using CRISPR/Cas9 genome editing in human iPSCs for deciphering the pathogenicity of a novel transcription start site deletion.利用CRISPR/Cas9基因组编辑技术对人诱导多能干细胞进行操作,以解读一种新型转录起始位点缺失的致病性。
Front Mol Biosci. 2022 Aug 25;9:953048. doi: 10.3389/fmolb.2022.953048. eCollection 2022.
8
A Chinese Family With Cerebral Cavernous Malformation Caused by a Frameshift Mutation of the Gene: A Case Report and Review of the Literature.一个因该基因移码突变导致脑海绵状畸形的中国家庭:病例报告及文献复习
Front Neurol. 2022 Apr 4;13:795514. doi: 10.3389/fneur.2022.795514. eCollection 2022.
9
Genetic syndromes with vascular malformations - update on molecular background and diagnostics.伴有血管畸形的遗传综合征——分子背景与诊断的最新进展
Arch Med Sci. 2020 Feb 25;17(4):965-991. doi: 10.5114/aoms.2020.93260. eCollection 2021.
10
A Novel Missense Variant Caused Cerebral Cavernous Malformations in a Chinese Family.一个新的错义变异导致一个中国家系发生脑海绵状血管畸形。
Front Neurosci. 2021 Jan 5;14:604350. doi: 10.3389/fnins.2020.604350. eCollection 2020.
CCM2 基因多态性与意大利散发性脑动静脉畸形患者的相关性:一项病例对照研究。
Int J Mol Med. 2012 Jun;29(6):1113-20. doi: 10.3892/ijmm.2012.927. Epub 2012 Feb 28.
4
Phosphorylation sites in the cerebral cavernous malformations complex.脑海绵状血管畸形复合体中的磷酸化位点
J Cell Sci. 2011 Dec 1;124(Pt 23):3929-32. doi: 10.1242/jcs.095471.
5
Mutation analysis of CCM1, CCM2 and CCM3 genes in a cohort of Italian patients with cerebral cavernous malformation.一组意大利脑海绵状血管畸形患者中CCM1、CCM2和CCM3基因的突变分析
Brain Pathol. 2011 Mar;21(2):215-24. doi: 10.1111/j.1750-3639.2010.00441.x. Epub 2010 Oct 4.
6
Recent insights into cerebral cavernous malformations: a complex jigsaw puzzle under construction.脑静脉畸形的最新见解:正在构建的复杂拼图。
FEBS J. 2010 Mar;277(5):1084-96. doi: 10.1111/j.1742-4658.2009.07537.x. Epub 2010 Jan 22.
7
CCM2 mediates death signaling by the TrkA receptor tyrosine kinase.CCM2通过TrkA受体酪氨酸激酶介导死亡信号。
Neuron. 2009 Sep 10;63(5):585-91. doi: 10.1016/j.neuron.2009.08.020.
8
Study of cerebral cavernous malformation in Spain and Portugal: high prevalence of a 14 bp deletion in exon 5 of MGC4607 (CCM2 gene).西班牙和葡萄牙脑海绵状血管畸形的研究:MGC4607(CCM2基因)第5外显子14bp缺失的高发生率
J Neurol. 2007 Mar;254(3):322-6. doi: 10.1007/s00415-006-0359-9. Epub 2007 Mar 7.
9
Large germline deletions and duplication in isolated cerebral cavernous malformation patients.孤立性脑海绵状血管畸形患者的大片种系缺失和重复
Neurogenetics. 2007 Apr;8(2):149-53. doi: 10.1007/s10048-006-0076-7. Epub 2007 Jan 9.
10
Low frequency of PDCD10 mutations in a panel of CCM3 probands: potential for a fourth CCM locus.一组CCM3先证者中PDCD10突变的低频率:存在第四个CCM基因座的可能性。
Hum Mutat. 2006 Jan;27(1):118. doi: 10.1002/humu.9389.