Zhang Yuan-Tao, Jiang Feng, Tian Zhe-Xian, Huo Yi-Xin, Sun Yi-Cheng, Wang Yi-Ping
State Key Laboratory of Protein and Plant Gene Research, College of Life Sciences, Peking University, Beijing, China.
State Key Laboratory of Protein and Plant Gene Research, College of Life Sciences, Peking University, Beijing, China ; Institute of Pathogen Biology, Chinese Academy of Medical Sciences and Peking Union Medical College, Beijing, China.
PLoS One. 2014 Jan 23;9(1):e86727. doi: 10.1371/journal.pone.0086727. eCollection 2014.
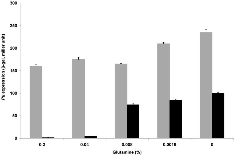
The expression of σ(54)-dependent Pseudomonas putida Pu promoter is activated by XylR activator when cells are exposed to a variety of aromatic inducers. In this study, the transcriptional activation of the P. putida Pu promoter was recreated in the heterologous host Escherichia coli. Here we show that the cAMP receptor protein (CRP), a well-known carbon utilization regulator, had an inhibitory effect on the expression of Pu promoter in a cAMP-dependent manner. The inhibitory effect was not activator specific. In vivo KMnO4 and DMS footprinting analysis indicated that CRP-cAMP poised the RNA polymerase at Pu promoter, inhibiting the isomerization step of the transcription initiation even in the presence of an activator. Therefore, the presence of PTS-sugar, which eliminates cAMP, could activate the poised RNA polymerase at Pu promoter to transcribe. Moreover, the activation region 1 (AR1) of CRP, which interacts directly with the αCTD (C-terminal domain of α-subunit) of RNA polymerase, was found essential for the CRP-mediated inhibition at Pu promoter. A model for the above observations is discussed.
当细胞暴露于多种芳香族诱导剂时,σ(54)依赖的恶臭假单胞菌Pu启动子的表达由XylR激活剂激活。在本研究中,恶臭假单胞菌Pu启动子的转录激活在异源宿主大肠杆菌中得以重现。在此我们表明,环磷酸腺苷受体蛋白(CRP),一种著名的碳利用调节因子,以环磷酸腺苷依赖的方式对Pu启动子的表达具有抑制作用。这种抑制作用并非激活剂特异性的。体内高锰酸钾和二甲基亚砜足迹分析表明,CRP-环磷酸腺苷使RNA聚合酶在Pu启动子处就绪,即使在有激活剂存在的情况下也抑制转录起始的异构化步骤。因此,消除环磷酸腺苷的磷酸转移酶系统糖类的存在可激活在Pu启动子处就绪的RNA聚合酶进行转录。此外,发现CRP的激活区域1(AR1),其直接与RNA聚合酶的α亚基C末端结构域(αCTD)相互作用,对于CRP在Pu启动子处介导的抑制作用至关重要。讨论了上述观察结果的模型。