Suppr超能文献

多铁性 DyMn2O5 中铁电性的实验观察。

Experimental observation of ferrielectricity in multiferroic DyMn2O5.

机构信息

Laboratory of Solid State Microstructures, Nanjing University, Nanjing 210093, China.

Department of Physics, Southeast University, Nanjing 210189, China.

出版信息

Sci Rep. 2014 Feb 5;4:3984. doi: 10.1038/srep03984.

Abstract

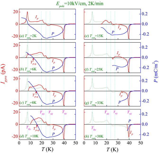
One of the major breakthroughs associated with multiferroicity in recent years is the discovery of ferroelectricity generated by specific magnetic structures in some magnetic insulating oxides such as rare-earth manganites RMnO3 and RMn2O5. An unresolved issue is the small electric polarization. Relatively large electric polarization and strong magnetoelectric coupling have been found in those manganites of double magnetic ions: magnetic rare-earth R ion and Mn ion, due to the strong R-Mn (4f-3d) interactions. DyMn2O5 is a representative example. We unveil in this work the ferrielectric nature of DyMn2O5, in which the two ferroelectric sublattices with opposite electric polarizations constitute the ferrielectric state. One sublattice has its polarization generated by the symmetric exchange striction from the Mn-Mn interactions, while the polarization of the other sublattice is attributed to the symmetric exchange striction from the Dy-Mn interactions. We present detailed measurements on the electric polarization as a function of temperature, magnetic field, and measuring paths. The present experiments may be helpful for clarifying the puzzling issues on the multiferroicity in DyMn2O5 and other RMn2O5 multiferroics.

摘要

近年来,与多铁性相关的重大突破之一是在一些磁性绝缘氧化物中发现了由特定磁结构产生的铁电性,如稀土锰酸盐 RMnO3 和 RMn2O5。一个悬而未决的问题是电极化较小。在那些具有双磁离子的锰酸盐中,由于强的 R-Mn(4f-3d)相互作用,发现了相对较大的电极化和强的磁电耦合:磁性稀土 R 离子和 Mn 离子。DyMn2O5 就是一个典型的例子。我们在这项工作中揭示了 DyMn2O5 的铁电性质,其中两个具有相反电极化的铁电亚晶格构成了铁电态。一个亚晶格的极化是由 Mn-Mn 相互作用产生的对称交换收缩引起的,而另一个亚晶格的极化则归因于 Dy-Mn 相互作用产生的对称交换收缩。我们对电极化随温度、磁场和测量路径的函数关系进行了详细的测量。目前的实验可能有助于澄清 DyMn2O5 和其他 RMn2O5 多铁性中多铁性的一些令人困惑的问题。

https://cdn.ncbi.nlm.nih.gov/pmc/blobs/9b5d/3913922/4b8cbb50229e/srep03984-f1.jpg

文献AI研究员

20分钟写一篇综述,助力文献阅读效率提升50倍。

立即体验

用中文搜PubMed

大模型驱动的PubMed中文搜索引擎

马上搜索

文档翻译

学术文献翻译模型,支持多种主流文档格式。

立即体验