• 文献检索
  • 文档翻译
  • 深度研究
  • 学术资讯
  • Suppr Zotero 插件Zotero 插件
  • 邀请有礼
  • 套餐&价格
  • 历史记录
应用&插件
Suppr Zotero 插件Zotero 插件浏览器插件Mac 客户端Windows 客户端微信小程序
定价
高级版会员购买积分包购买API积分包
服务
文献检索文档翻译深度研究API 文档MCP 服务
关于我们
关于 Suppr公司介绍联系我们用户协议隐私条款
关注我们

Suppr 超能文献

核心技术专利:CN118964589B侵权必究
粤ICP备2023148730 号-1Suppr @ 2026

文献检索

告别复杂PubMed语法,用中文像聊天一样搜索,搜遍4000万医学文献。AI智能推荐,让科研检索更轻松。

立即免费搜索

文件翻译

保留排版,准确专业,支持PDF/Word/PPT等文件格式,支持 12+语言互译。

免费翻译文档

深度研究

AI帮你快速写综述,25分钟生成高质量综述,智能提取关键信息,辅助科研写作。

立即免费体验

DUF1220的剂量与自闭症三种主要症状严重程度的增加呈线性相关。

DUF1220 dosage is linearly associated with increasing severity of the three primary symptoms of autism.

作者信息

Davis Jonathan M, Searles Veronica B, Anderson Nathan, Keeney Jonathon, Dumas Laura, Sikela James M

机构信息

Department of Biochemistry & Molecular Genetics, Human Medical Genetics and Genomics Program & Neuroscience Program, University of Colorado School of Medicine, Anschutz Medical Campus, Aurora, Colorado, United States of America.

Department of Biochemistry & Molecular Genetics, Human Medical Genetics and Genomics Program & Neuroscience Program, University of Colorado School of Medicine, Anschutz Medical Campus, Aurora, Colorado, United States of America; Medical Scientist Training Program, University of Colorado School of Medicine, Anschutz Medical Campus, Aurora, Colorado, United States of America.

出版信息

PLoS Genet. 2014 Mar 20;10(3):e1004241. doi: 10.1371/journal.pgen.1004241. eCollection 2014 Mar.

DOI:10.1371/journal.pgen.1004241
PMID:24651471
原文链接:https://pmc.ncbi.nlm.nih.gov/articles/PMC3961203/
Abstract

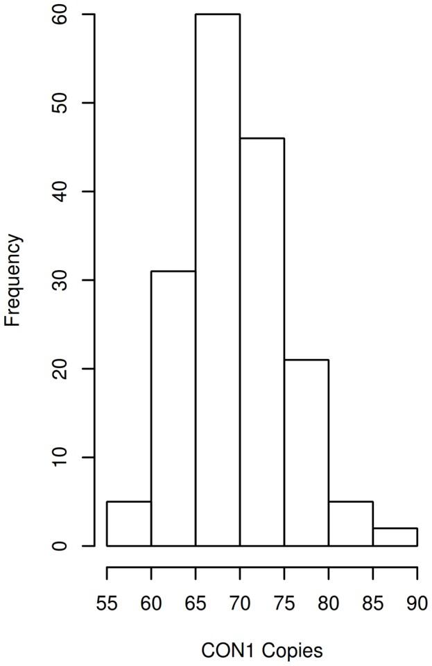
One of the three most frequently documented copy number variations associated with autism spectrum disorder (ASD) is a 1q21.1 duplication that encompasses sequences encoding DUF1220 protein domains, the dosage of which we previously implicated in increased human brain size. Further, individuals with ASD frequently display accelerated brain growth and a larger brain size that is also associated with increased symptom severity. Given these findings, we investigated the relationship between DUF1220 copy number and ASD severity, and here show that in individuals with ASD (n = 170), the copy number (dosage) of DUF1220 subtype CON1 is highly variable, ranging from 56 to 88 copies following a Gaussian distribution. More remarkably, in individuals with ASD CON1 copy number is also linearly associated, in a dose-response manner, with increased severity of each of the three primary symptoms of ASD: social deficits (p = 0.021), communicative impairments (p = 0.030), and repetitive behaviors (p = 0.047). These data indicate that DUF1220 protein domain (CON1) dosage has an ASD-wide effect and, as such, is likely to be a key component of a major pathway underlying ASD severity. Finally, these findings, by implicating the dosage of a previously unexamined, copy number polymorphic and brain evolution-related gene coding sequence in ASD severity, provide an important new direction for further research into the genetic factors underlying ASD.

摘要

与自闭症谱系障碍(ASD)相关的三个最常被记录的拷贝数变异之一是1q21.1重复,它包含编码DUF1220蛋白结构域的序列,我们之前认为该蛋白结构域的剂量与人类脑容量增加有关。此外,患有ASD的个体经常表现出脑生长加速和脑容量增大,这也与症状严重程度增加有关。基于这些发现,我们研究了DUF1220拷贝数与ASD严重程度之间的关系,结果表明,在患有ASD的个体(n = 170)中,DUF1220亚型CON1的拷贝数(剂量)高度可变,呈高斯分布,范围从56到88个拷贝。更值得注意的是,在患有ASD的个体中,CON1拷贝数还以剂量反应方式与ASD的三种主要症状(社交缺陷(p = 0.021)、沟通障碍(p = 0.030)和重复行为(p = 0.047))的严重程度增加呈线性相关。这些数据表明,DUF1220蛋白结构域(CON1)剂量具有全ASD效应,因此可能是ASD严重程度潜在主要通路的关键组成部分。最后,这些发现通过表明一个先前未研究的、拷贝数多态且与脑进化相关的基因编码序列的剂量与ASD严重程度有关,为进一步研究ASD潜在遗传因素提供了一个重要的新方向。

https://cdn.ncbi.nlm.nih.gov/pmc/blobs/62d4/3961203/475854fa9681/pgen.1004241.g001.jpg
https://cdn.ncbi.nlm.nih.gov/pmc/blobs/62d4/3961203/475854fa9681/pgen.1004241.g001.jpg
https://cdn.ncbi.nlm.nih.gov/pmc/blobs/62d4/3961203/475854fa9681/pgen.1004241.g001.jpg

相似文献

1
DUF1220 dosage is linearly associated with increasing severity of the three primary symptoms of autism.DUF1220的剂量与自闭症三种主要症状严重程度的增加呈线性相关。
PLoS Genet. 2014 Mar 20;10(3):e1004241. doi: 10.1371/journal.pgen.1004241. eCollection 2014 Mar.
2
Replicated linear association between DUF1220 copy number and severity of social impairment in autism.DUF1220拷贝数与自闭症社会功能障碍严重程度之间的重复性线性关联。
Hum Genet. 2015 Jun;134(6):569-75. doi: 10.1007/s00439-015-1537-6. Epub 2015 Mar 11.
3
DUF1220 copy number is associated with schizophrenia risk and severity: implications for understanding autism and schizophrenia as related diseases.DUF1220拷贝数与精神分裂症风险及严重程度相关:对理解自闭症和精神分裂症作为相关疾病的启示
Transl Psychiatry. 2015 Dec 15;5(12):e697. doi: 10.1038/tp.2015.192.
4
DUF1220 copy number is linearly associated with increased cognitive function as measured by total IQ and mathematical aptitude scores.DUF1220拷贝数与通过总智商和数学能力得分衡量的认知功能增强呈线性相关。
Hum Genet. 2015 Jan;134(1):67-75. doi: 10.1007/s00439-014-1489-2. Epub 2014 Oct 7.
5
DUF1220-domain copy number implicated in human brain-size pathology and evolution.DUF1220 结构域拷贝数变异与人类大脑尺寸病理和进化有关。
Am J Hum Genet. 2012 Sep 7;91(3):444-54. doi: 10.1016/j.ajhg.2012.07.016. Epub 2012 Aug 16.
6
A Third Linear Association Between Olduvai (DUF1220) Copy Number and Severity of the Classic Symptoms of Inherited Autism.奥杜威(DUF1220)拷贝数与经典遗传性自闭症症状严重程度的第三次线性关联。
Am J Psychiatry. 2019 Aug 1;176(8):643-650. doi: 10.1176/appi.ajp.2018.18080993. Epub 2019 Feb 15.
7
DUF1220 domains, cognitive disease, and human brain evolution.DUF1220结构域、认知疾病与人类大脑进化
Cold Spring Harb Symp Quant Biol. 2009;74:375-82. doi: 10.1101/sqb.2009.74.025. Epub 2009 Oct 22.
8
Finished sequence and assembly of the DUF1220-rich 1q21 region using a haploid human genome.利用单倍体人类基因组完成富含DUF1220的1q21区域的序列测定与组装。
BMC Genomics. 2014 May 20;15(1):387. doi: 10.1186/1471-2164-15-387.
9
Generation of mice lacking DUF1220 protein domains: effects on fecundity and hyperactivity.缺乏DUF1220蛋白结构域的小鼠的产生:对繁殖力和多动的影响。
Mamm Genome. 2015 Feb;26(1-2):33-42. doi: 10.1007/s00335-014-9545-8. Epub 2014 Oct 12.
10
High resolution measurement of DUF1220 domain copy number from whole genome sequence data.从全基因组序列数据中对DUF1220结构域拷贝数进行高分辨率测量。
BMC Genomics. 2017 Aug 14;18(1):614. doi: 10.1186/s12864-017-3976-z.

引用本文的文献

1
Neurodevelopment Genes Encoding Olduvai Domains Link Myalgic Encephalomyelitis to Neuropsychiatric Disorders.编码奥杜威结构域的神经发育基因将肌痛性脑脊髓炎与神经精神疾病联系起来。
Diagnostics (Basel). 2025 Jun 17;15(12):1542. doi: 10.3390/diagnostics15121542.
2
Understanding the Emergence of Schizophrenia in the Light of Human Evolution: New Perspectives in Genetics.从人类进化角度理解精神分裂症的发生:遗传学新视角
Genes Brain Behav. 2025 Feb;24(1):e70013. doi: 10.1111/gbb.70013.
3
Neuroblastoma Breakpoint Family 3mer Higher Order Repeats/Olduvai Triplet Pattern in the Complete Genome of Human and Nonhuman Primates and Relation to Cognitive Capacity.

本文引用的文献

1
Mode of genetic inheritance modifies the association of head circumference and autism-related symptoms: a cross-sectional study.遗传模式改变头围与自闭症相关症状之间的关联:一项横断面研究。
PLoS One. 2013 Sep 18;8(9):e74940. doi: 10.1371/journal.pone.0074940. eCollection 2013.
2
A Danish population-based twin study on autism spectrum disorders.丹麦基于人群的自闭症谱系障碍双胞胎研究。
Eur Child Adolesc Psychiatry. 2014 Jan;23(1):35-43. doi: 10.1007/s00787-013-0419-5. Epub 2013 May 10.
3
The unstable repeats--three evolving faces of neurological disease.
神经母细胞瘤断点家族3聚体高阶重复序列/人类和非人类灵长类动物全基因组中的奥杜威三联体模式及其与认知能力的关系
Genes (Basel). 2024 Dec 13;15(12):1598. doi: 10.3390/genes15121598.
4
Inferring DNA methylation in non-skeletal tissues of ancient specimens.推断古代样本非骨骼组织中的DNA甲基化情况。
Nat Ecol Evol. 2025 Jan;9(1):153-165. doi: 10.1038/s41559-024-02571-w. Epub 2024 Nov 20.
5
Tandem NBPF 3mer HORs (Olduvai triplets) in Neanderthal and two novel HOR tandem arrays in human chromosome 1 T2T-CHM13 assembly.尼安德特人和人类 1 号染色体 T2T-CHM13 组装体中串联 NBPF3mer HOR(奥杜瓦伊三联体)和两个新的 HOR 串联阵列。
Sci Rep. 2023 Sep 2;13(1):14420. doi: 10.1038/s41598-023-41517-3.
6
Association Study between DUF1220 Copy Number and Severity of Social Impairment in Sex-balanced Simplex Cases of Autism.在自闭症性别平衡单纯病例中,DUF1220拷贝数与社会功能障碍严重程度之间的关联研究。
Noro Psikiyatr Ars. 2022 Jul 5;60(1):43-48. doi: 10.29399/npa.28020. eCollection 2023.
7
Proteolytic activation of human-specific Olduvai domains by the furin protease.人源古蛋白域通过弗林蛋白酶的蛋白水解激活作用。
Int J Biol Macromol. 2023 Apr 15;234:123041. doi: 10.1016/j.ijbiomac.2022.12.260. Epub 2022 Dec 26.
8
Keeping the balance: Trade-offs between human brain evolution, autism, and schizophrenia.保持平衡:人类大脑进化、自闭症与精神分裂症之间的权衡
Front Genet. 2022 Nov 21;13:1009390. doi: 10.3389/fgene.2022.1009390. eCollection 2022.
9
Tandemly repeated NBPF HOR copies (Olduvai triplets): Possible impact on human brain evolution.串联重复的 NBPF HOR 拷贝(奥杜威三联体):可能对人类大脑进化的影响。
Life Sci Alliance. 2022 Oct 19;6(1). doi: 10.26508/lsa.202101306. Print 2023 Jan.
10
Selection of Olduvai Domains during Evolution: A Role for Primate-Specific Splicing Super-Enhancer and RNA Guanine Quadruplex in Bipartite Exons.进化过程中奥杜威结构域的选择:灵长类特异性剪接超级增强子和RNA鸟嘌呤四联体在二分外显子中的作用。
Brain Sci. 2022 Jun 30;12(7):874. doi: 10.3390/brainsci12070874.
不稳定重复序列——神经疾病的三种演变面貌。
Neuron. 2013 Mar 6;77(5):825-43. doi: 10.1016/j.neuron.2013.02.022.
4
Refinement and discovery of new hotspots of copy-number variation associated with autism spectrum disorder.孤独症谱系障碍相关拷贝数变异新热点的精修和发现。
Am J Hum Genet. 2013 Feb 7;92(2):221-37. doi: 10.1016/j.ajhg.2012.12.016. Epub 2013 Jan 31.
5
Evolution of genetic and genomic features unique to the human lineage.人类谱系中特有的遗传和基因组特征的演变。
Nat Rev Genet. 2012 Dec;13(12):853-66. doi: 10.1038/nrg3336.
6
Evolutionary history and genome organization of DUF1220 protein domains.DUF1220 蛋白结构域的进化历史和基因组组织。
G3 (Bethesda). 2012 Sep;2(9):977-86. doi: 10.1534/g3.112.003061. Epub 2012 Sep 1.
7
Association testing of copy number variants in schizophrenia and autism spectrum disorders.精神分裂症和自闭症谱系障碍的拷贝数变异的关联分析。
J Neurodev Disord. 2012 May 30;4(1):15. doi: 10.1186/1866-1955-4-15.
8
DUF1220-domain copy number implicated in human brain-size pathology and evolution.DUF1220 结构域拷贝数变异与人类大脑尺寸病理和进化有关。
Am J Hum Genet. 2012 Sep 7;91(3):444-54. doi: 10.1016/j.ajhg.2012.07.016. Epub 2012 Aug 16.
9
Brain enlargement is associated with regression in preschool-age boys with autism spectrum disorders.大脑增大与自闭症谱系障碍学龄前男孩的退行性变化有关。
Proc Natl Acad Sci U S A. 2011 Dec 13;108(50):20195-200. doi: 10.1073/pnas.1107560108. Epub 2011 Nov 28.
10
Neuron number and size in prefrontal cortex of children with autism.自闭症儿童前额叶皮层的神经元数量和大小。
JAMA. 2011 Nov 9;306(18):2001-10. doi: 10.1001/jama.2011.1638.