Suppr超能文献

使用液相色谱-串联质谱法同时测定多囊卵巢综合征女性和对照女性中的13种甾体激素。

Simultaneous measurement of thirteen steroid hormones in women with polycystic ovary syndrome and control women using liquid chromatography-tandem mass spectrometry.

作者信息

Keefe Candace C, Goldman Mildred M, Zhang Ke, Clarke Nigel, Reitz Richard E, Welt Corrine K

机构信息

Reproductive Endocrine Unit, Massachusetts General Hospital, Boston, Massachussetts, United States of America.

Steroids Department, Quest Diagnostics Nichols Institute, San Juan Capistrano, California, United States of America.

出版信息

PLoS One. 2014 Apr 8;9(4):e93805. doi: 10.1371/journal.pone.0093805. eCollection 2014.

Abstract

BACKGROUND

The measurement of adrenal and ovarian androgens in women with PCOS has been difficult based on poor specificity and sensitivity of assays in the female range.

METHODS

Women with PCOS (NIH criteria; n = 52) and control subjects with 25-35 day menstrual cycles, no evidence of hyperandrogenism and matched for BMI (n = 42) underwent morning blood sampling. Liquid chromatography-tandem mass spectrometry (LC-MS/MS) was used to simultaneously measure 13 steroids from a single blood sample to measure adrenal and ovarian steroids. Androgen and progesterone results were compared in the same samples using RIA.

RESULTS

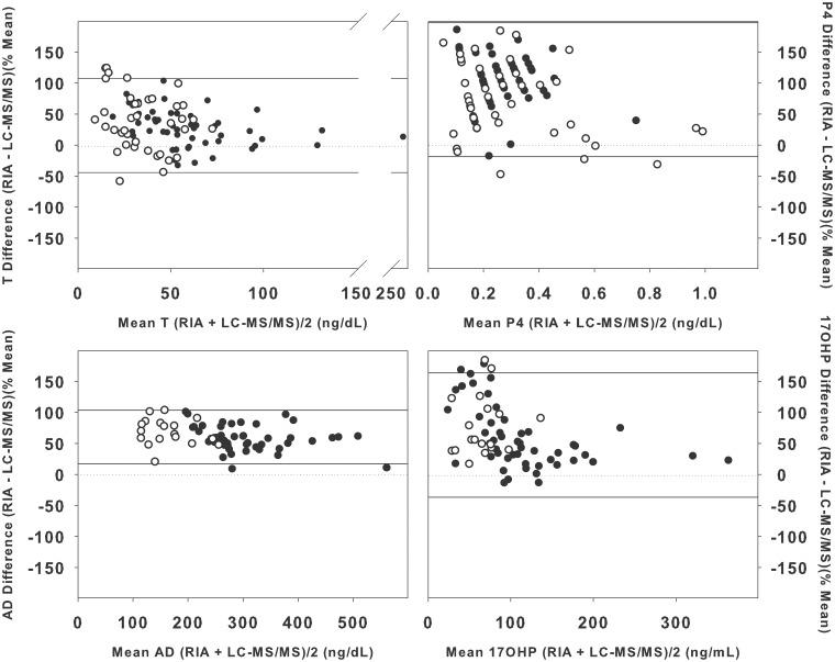
Testosterone, androstenedione, progesterone and 17OH progesterone levels were higher when measured using RIA compared to LC-MS/MS, although the testosterone RIA demonstrated the best agreement with the LC-MS/MS using a Bland-Altman analysis. Results using LC-MS/MS demonstrated that the concentration of androgens and their precursors were higher in women with PCOS than controls [median (2.5, 97.5th %ile); 1607 (638, 3085) vs. 1143 (511, 4784) ng/dL; p = 0.03]. Women with PCOS had higher testosterone [49 (16, 125) vs. 24 (10, 59) ng/dL], androstenedione [203 (98, 476) vs. 106 (69, 223) ng/dL] and 17OH progesterone levels [80 (17, 176) vs. 44 (17, 142) ng/dL] compared to controls (all P<0.02), but no differences in serum concentrations of the adrenal steroids DHEAS, cortisol, corticosterone and their 11 deoxy precursors. Women with PCOS also had an increase in the product:precursor ratio for 3β-hydroxysteroid dehydrogenase [22% (6, 92) vs. 20% (4, 43); p = 0.009].

CONCLUSION

LC-MS/MS was superior to RIA in measuring androstenedione, progesterone and 17OH progesterone levels, while testosterone measurements were better matched in the two assays. Androgen levels were higher in women with PCOS in the absence of a difference in adrenal-predominant steroids. These data support previous findings that the ovary is an important source for the androgen excess in women with PCOS.

摘要

背景

基于检测方法在女性范围内特异性和敏感性较差,多囊卵巢综合征(PCOS)女性中肾上腺和卵巢雄激素的测量一直很困难。

方法

患有PCOS(美国国立卫生研究院标准;n = 52)的女性和月经周期为25 - 35天、无高雄激素血症证据且体重指数匹配的对照受试者(n = 42)接受清晨采血。采用液相色谱 - 串联质谱法(LC - MS/MS)从单一血样中同时测量13种类固醇以测定肾上腺和卵巢类固醇。使用放射免疫分析法(RIA)在相同样本中比较雄激素和孕酮结果。

结果

与LC - MS/MS相比,使用RIA测量时睾酮、雄烯二酮、孕酮和17α - 羟孕酮水平更高,尽管睾酮RIA在使用布兰德 - 奥特曼分析时与LC - MS/MS显示出最佳一致性。使用LC - MS/MS的结果表明,PCOS女性中雄激素及其前体的浓度高于对照组[中位数(第2.5,97.5百分位数);1607(638,3085)对1143(511,4784)ng/dL;p = 0.03]。PCOS女性的睾酮[49(16,125)对24(10,59)ng/dL]、雄烯二酮[203(98,476)对106(69,223)ng/dL]和17α - 羟孕酮水平[80(17,176)对44(17,142)ng/dL]高于对照组(均P<0.02),但肾上腺类固醇硫酸脱氢表雄酮(DHEAS)、皮质醇及其11 - 脱氧前体的血清浓度无差异。PCOS女性的3β - 羟基类固醇脱氢酶的产物:前体比值也有所增加[22%(6,92)对20%(4,43);p = 0.009]。

结论

在测量雄烯二酮、孕酮和17α - 羟孕酮水平方面,LC - MS/MS优于RIA,而两种检测方法中睾酮测量结果更匹配。在肾上腺为主的类固醇无差异的情况下,PCOS女性的雄激素水平更高。这些数据支持了先前的研究结果,即卵巢是PCOS女性雄激素过多的重要来源。

https://cdn.ncbi.nlm.nih.gov/pmc/blobs/584e/3979722/eef19abc4502/pone.0093805.g001.jpg

文献AI研究员

20分钟写一篇综述,助力文献阅读效率提升50倍。

立即体验

用中文搜PubMed

大模型驱动的PubMed中文搜索引擎

马上搜索

文档翻译

学术文献翻译模型,支持多种主流文档格式。

立即体验