Suppr超能文献

功能表征改善了CHRNB4基因中罕见非同义变异与吸烟行为之间的关联。

Functional characterization improves associations between rare non-synonymous variants in CHRNB4 and smoking behavior.

作者信息

Haller Gabe, Li Ping, Esch Caroline, Hsu Simon, Goate Alison M, Steinbach Joe Henry

机构信息

Departments of Psychiatry and Genetics, Washington University, St. Louis, Missouri, United States of America.

Department of Anesthesiology, Washington University, St. Louis, Missouri, United States of America.

出版信息

PLoS One. 2014 May 7;9(5):e96753. doi: 10.1371/journal.pone.0096753. eCollection 2014.

Abstract

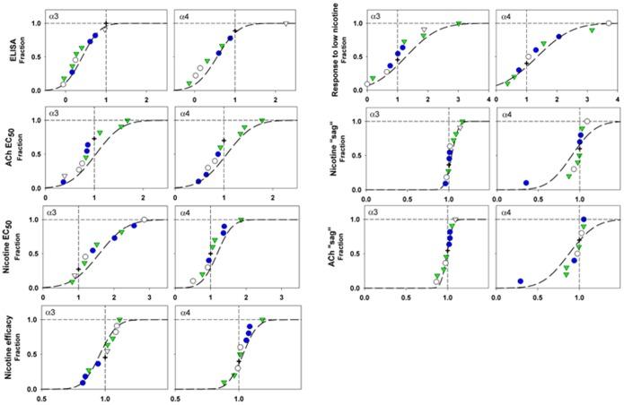
Smoking is the leading cause of preventable death worldwide. Accordingly, effort has been devoted to determining the genetic variants that contribute to smoking risk. Genome-wide association studies have identified several variants in nicotinic acetylcholine receptor genes that contribute to nicotine dependence risk. We previously undertook pooled sequencing of the coding regions and flanking sequence of the CHRNA5, CHRNA3, CHRNB4, CHRNA6 and CHRNB3 genes and found that rare missense variants at conserved residues in CHRNB4 are associated with reduced risk of nicotine dependence among African Americans. We identified 10 low frequency (<5%) non-synonymous variants in CHRNB4 and investigated functional effects by co-expression with normal α3 or α4 subunits in human embryonic kidney cells. Voltage-clamp was used to obtain acetylcholine and nicotine concentration-response curves and qRT-PCR, western blots and cell-surface ELISAs were performed to assess expression levels. These results were used to functionally weight genetic variants in a gene-based association test. We find that there is a highly significant correlation between carrier status weighted by either acetylcholine EC50 (β = -0.67, r2 = 0.017, P = 2 × 10(-4)) or by response to low nicotine (β = -0.29, r2 = 0.02, P = 6 × 10(-5)) when variants are expressed with the α3 subunit. In contrast, there is no significant association when carrier status is unweighted (β = -0.04, r2 = 0.0009, P = 0.54). These results highlight the value of functional analysis of variants and the advantages to integrating such data into genetic studies. They also suggest that an increased sensitivity to low concentrations of nicotine is protective from the risk of developing nicotine dependence.

摘要

吸烟是全球可预防死亡的主要原因。因此,人们致力于确定导致吸烟风险的基因变异。全基因组关联研究已经在烟碱型乙酰胆碱受体基因中鉴定出了几种与尼古丁依赖风险相关的变异。我们之前对CHRNA5、CHRNA3、CHRNB4、CHRNA6和CHRNB3基因的编码区及侧翼序列进行了混合测序,发现CHRNB4中保守残基处的罕见错义变异与非裔美国人尼古丁依赖风险降低相关。我们在CHRNB4中鉴定出10个低频(<5%)非同义变异,并通过与人胚胎肾细胞中的正常α3或α4亚基共表达来研究其功能效应。使用电压钳获取乙酰胆碱和尼古丁浓度-反应曲线,并进行定量逆转录聚合酶链反应、蛋白质免疫印迹和细胞表面酶联免疫吸附测定以评估表达水平。这些结果被用于在基于基因的关联测试中对基因变异进行功能加权。我们发现,当变异与α3亚基共表达时,由乙酰胆碱半数有效浓度(β = -0.67,r2 = 0.017,P = 2×10⁻⁴)或对低浓度尼古丁的反应(β = -0.29,r2 = 0.02,P = 6×10⁻⁵)加权的携带者状态之间存在高度显著的相关性。相比之下,当携带者状态未加权时则无显著关联(β = -0.04,r2 = 0.0009,P = 0.54)。这些结果突出了变异功能分析的价值以及将此类数据整合到基因研究中的优势。它们还表明,对低浓度尼古丁的敏感性增加可预防尼古丁依赖风险。

https://cdn.ncbi.nlm.nih.gov/pmc/blobs/e039/4013067/bee7040a512c/pone.0096753.g001.jpg

文献AI研究员

20分钟写一篇综述,助力文献阅读效率提升50倍。

立即体验

用中文搜PubMed

大模型驱动的PubMed中文搜索引擎

马上搜索

文档翻译

学术文献翻译模型,支持多种主流文档格式。

立即体验