Hamad Shahnaz A, Beale Philip, Yu Jun Q, Huq Fazlul
The University of Sydney, Cumberland Campus, Lidcombe, Sydney, NSW 2141, Australia.
J Biomed Sci. 2014 May 12;21(1):41. doi: 10.1186/1423-0127-21-41.
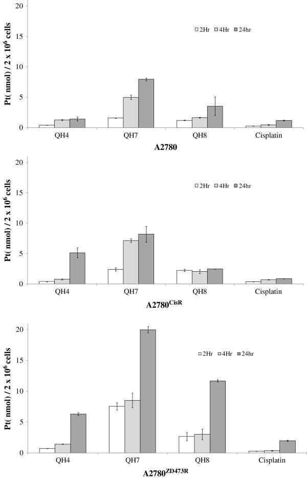
As compared to cisplatin, trinuclear platinum compounds such as BBR3464 and DH6Cl have an altered spectrum of activity possibly because they form long-range adducts with DNA as against mainly intrastrand 1,2-bifunctional adducts formed by cisplatin and its analogues. Because of the labilizing effect associated with the trans-geometry, the compounds are expected to break down inside the cell thus serving to reduce the number of long-range adducts formed. In contrast, trinuclear platinum complexes with cis-geometry for the terminal metal centres would be less subject to such breakdown and hence may produce a greater number of long-range inter- and intrastrand adducts with the DNA. This paper describes the synthesis and activity against human ovarian tumour models of of three new trinuclear platinum complexes with cis-geometry for terminal platinum centres, coded as QH4, QH7 and QH8. The paper also describes cellular accumulation of platinum, level of drug-DNA binding, and nature of interaction of the compounds with pBR322 plasmid DNA.
Methods of synthesis, elemental analysis, spectral studies and molar conductivity measurements provide support to the suggested structures of the compounds. QH4 and QH8 are found to be more cytotoxic than cisplatin against the parental A2780 cell line; QH8 is more active than cisplatin against the resistant A2780cisR and A2780ZD0473R cell lines as well. The least compound QH7 shows a greater activity against the resistant cell lines than the parental cell line; it is most damaging to pBR322 plasmid DNA and most able to induce changes in DNA conformation. The variations in activity of the compounds, changes in intracellular drug accumulation and levels of Pt-DNA binding with the changes in number of planaramine ligands bound to central platinum and the length of the linking diamines, can be seen (1) to illustrate structure-activity relationships and (2) to highlight that the relationship between antitumour activity and interaction with cellular platinophiles including DNA can be quite complex as the cell death is carried out by downstream processes in the cell cycle where many proteins are involved.
Among the three designed trinuclear platinum complexes with cis-geometry for the terminal metal centres, the most active compound QH8 is found to be more active than cisplatin against the parental A2780 and the resistant A2780cisR and A2780ZD0473R cell lines.
与顺铂相比,三核铂化合物如BBR3464和DH6Cl具有不同的活性谱,这可能是因为它们与DNA形成长程加合物,而顺铂及其类似物主要形成链内1,2 - 双功能加合物。由于与反式几何结构相关的不稳定效应,预计这些化合物会在细胞内分解,从而减少形成的长程加合物数量。相比之下,末端金属中心具有顺式几何结构的三核铂配合物受这种分解的影响较小,因此可能与DNA产生更多的长程链间和链内加合物。本文描述了三种末端铂中心具有顺式几何结构的新型三核铂配合物(编码为QH4、QH7和QH8)的合成及其对人卵巢肿瘤模型的活性。本文还描述了铂的细胞积累、药物 - DNA结合水平以及这些化合物与pBR322质粒DNA的相互作用性质。
合成方法、元素分析、光谱研究和摩尔电导率测量为所建议的化合物结构提供了支持。发现QH4和QH8对亲本A2780细胞系的细胞毒性比顺铂更强;QH8对耐药的A2780cisR和A2780ZD0473R细胞系也比顺铂更具活性。活性最低的化合物QH7对耐药细胞系的活性比对亲本细胞系更高;它对pBR322质粒DNA的损伤最大,最能诱导DNA构象变化。可以看出,化合物活性的变化、细胞内药物积累的变化以及Pt - DNA结合水平随与中心铂结合的平面胺配体数量和连接二胺长度的变化而变化,这(1)说明了构效关系,(2)突出了抗肿瘤活性与包括DNA在内的细胞亲铂剂相互作用之间的关系可能相当复杂。因为细胞死亡是由细胞周期中涉及许多蛋白质的下游过程执行的。
在所设计的三种末端金属中心具有顺式几何结构的三核铂配合物中,活性最高的化合物QH8对亲本A2780以及耐药的A2780cisR和A2780ZD0473R细胞系的活性比顺铂更高。