• 文献检索
  • 文档翻译
  • 深度研究
  • 学术资讯
  • Suppr Zotero 插件Zotero 插件
  • 邀请有礼
  • 套餐&价格
  • 历史记录
应用&插件
Suppr Zotero 插件Zotero 插件浏览器插件Mac 客户端Windows 客户端微信小程序
定价
高级版会员购买积分包购买API积分包
服务
文献检索文档翻译深度研究API 文档MCP 服务
关于我们
关于 Suppr公司介绍联系我们用户协议隐私条款
关注我们

Suppr 超能文献

核心技术专利:CN118964589B侵权必究
粤ICP备2023148730 号-1Suppr @ 2026

文献检索

告别复杂PubMed语法,用中文像聊天一样搜索,搜遍4000万医学文献。AI智能推荐,让科研检索更轻松。

立即免费搜索

文件翻译

保留排版,准确专业,支持PDF/Word/PPT等文件格式,支持 12+语言互译。

免费翻译文档

深度研究

AI帮你快速写综述,25分钟生成高质量综述,智能提取关键信息,辅助科研写作。

立即免费体验

不同血浆谱患者全血血浆的氧化能力测定:一项方法学研究。

Oxidizability assay of unfractionated plasma of patients' with different plasma profile: a methodological study.

作者信息

Imam Hasan, Chowdhury Arfia, Mahbub Nasir Uddin, Hossain Amir, Karim Mohammed Faisal Bin, Uddin Mohammad Burhan, Sarker Md Moklesur Rahman

机构信息

Department of Pharmacy, Primeasia University, 9 Banani C/A, Dhaka 1213, Bangladesh.

Exim Bank Hospital, 840 Rokeya Soroni, Mirpur, Dhaka 1216, Bangladesh.

出版信息

J Diabetes Metab Disord. 2014 May 1;13:54. doi: 10.1186/2251-6581-13-54. eCollection 2014.

DOI:10.1186/2251-6581-13-54
PMID:24918093
原文链接:https://pmc.ncbi.nlm.nih.gov/articles/PMC4031925/
Abstract

BACKGROUND

Present study describe the in vitro model of plasma oxidation of patients with different lipid profile, that can be correlated to their invivo plasma oxidizability in order to find the arterial diseases prone patient groups.

METHOD

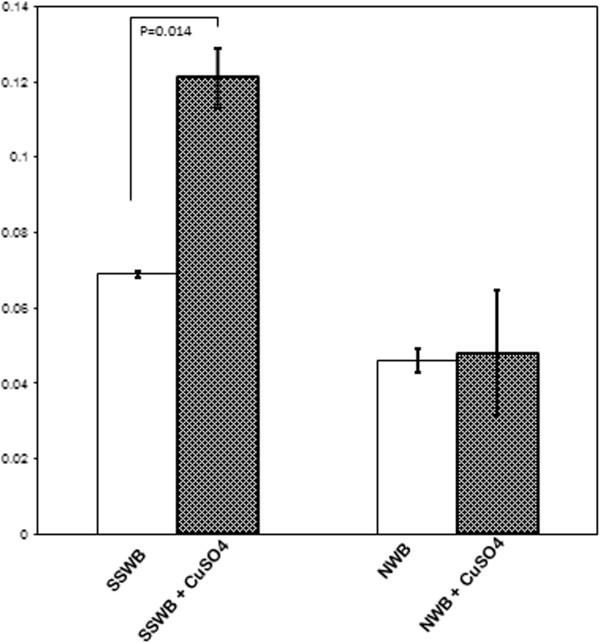
The method applied here to measure the invitro plasma oxidizability, accounts a convenient way that can be well suited in any clinical laboratory settings. Un-fractionated plasma was exposed to CuSO4 (5.0 mmol/L), a pro-oxidant, and low frequency ultrasonic wave to induce oxidation, and finally oxidizability was calculated by TBARS and Conjugated Diene methods.

RESULT

In our study, plasma LDL greater than 150 mg/dL possess 1.75 times more risk to undergo oxidation (CI, 0.7774 to 3.94; p = 0.071) than the low LDL plasma, percent of oxidation increased from 38.3% to 67.1% for the LDL level upto 150 mg/dL and high. Lag phase, which is considered as the plasma antioxidative protection, was also influenced by the higher LDL concentration. The mean lag time was 65.27 ± 20.02 (p = 0.02 compared to healthy), where as for 94.71 ± 35.11 min for the normolipidemic subject. The plasma oxidizability was also changed drastically for total cholesterol level, oxidative susceptibility shown 35% and 55.02% for 200 mg/dL and high respectively, however it didn't appear as risk factor. Patient samples were also stratified according to their age, gender, and blood glucose level. Older persons (≥40 years) were 1.096 times (95% CL, 0.5607 to 2.141, p = 0.396) than younger (≤39 years age), males are 1.071 (95% CI, 0.5072- 2.264) times than the females, and diabetic patients are 1.091 (CI, 0.6153 to 1.934, p = 0.391) times in more risk than the non-diabetic counterpart.

CONCLUSION

This method addressing its easy applicability in biomedical research. And by this we were able to show that patients with high LDL (≥150 mg/dL) are in alarming condition besides diabetic and elderly (≥40 years age) males are considered to be susceptible and more prone to develop vascular diseases.

摘要

背景

本研究描述了具有不同血脂水平患者的血浆氧化体外模型,该模型可与其体内血浆氧化能力相关联,以便找出易患动脉疾病的患者群体。

方法

此处应用的测量体外血浆氧化能力的方法,是一种适用于任何临床实验室环境的便捷方法。将未分级的血浆暴露于促氧化剂硫酸铜(5.0 mmol/L)和低频超声波以诱导氧化,最后通过硫代巴比妥酸反应物(TBARS)和共轭二烯方法计算氧化能力。

结果

在我们的研究中,血浆低密度脂蛋白(LDL)大于150 mg/dL的患者发生氧化的风险比血浆LDL水平低的患者高1.75倍(置信区间,0.7774至3.94;p = 0.071),LDL水平高达150 mg/dL及以上时,氧化百分比从38.3%增加到67.1%。被视为血浆抗氧化保护的滞后期也受到较高LDL浓度的影响。平均滞后期为65.27±20.02(与健康人相比,p = 0.02),而血脂正常者为94.71±35.11分钟。血浆氧化能力也因总胆固醇水平而发生显著变化,氧化敏感性在总胆固醇水平为200 mg/dL及以上时分别为35%和55.02%,然而它并未表现为风险因素。患者样本还根据年龄、性别和血糖水平进行了分层。老年人(≥40岁)比年轻人(≤39岁)发生氧化的风险高1.096倍(95%置信区间,0.5607至2.141,p = 0.396),男性比女性高1.071倍(95%置信区间,0.5072至2.264),糖尿病患者比非糖尿病患者发生氧化的风险高1.091倍(置信区间,0.6153至1.934,p = 0.391)。

结论

该方法在生物医学研究中易于应用。通过此方法我们能够表明,除糖尿病患者外,LDL水平高(≥150 mg/dL)的患者处于令人担忧的状态,并且老年男性(≥40岁)被认为易患且更倾向于患血管疾病。

https://cdn.ncbi.nlm.nih.gov/pmc/blobs/13ab/4031925/8b50d003142e/2251-6581-13-54-3.jpg
https://cdn.ncbi.nlm.nih.gov/pmc/blobs/13ab/4031925/3b8e9e823b17/2251-6581-13-54-1.jpg
https://cdn.ncbi.nlm.nih.gov/pmc/blobs/13ab/4031925/024fe52571bb/2251-6581-13-54-2.jpg
https://cdn.ncbi.nlm.nih.gov/pmc/blobs/13ab/4031925/8b50d003142e/2251-6581-13-54-3.jpg
https://cdn.ncbi.nlm.nih.gov/pmc/blobs/13ab/4031925/3b8e9e823b17/2251-6581-13-54-1.jpg
https://cdn.ncbi.nlm.nih.gov/pmc/blobs/13ab/4031925/024fe52571bb/2251-6581-13-54-2.jpg
https://cdn.ncbi.nlm.nih.gov/pmc/blobs/13ab/4031925/8b50d003142e/2251-6581-13-54-3.jpg

相似文献

1
Oxidizability assay of unfractionated plasma of patients' with different plasma profile: a methodological study.不同血浆谱患者全血血浆的氧化能力测定:一项方法学研究。
J Diabetes Metab Disord. 2014 May 1;13:54. doi: 10.1186/2251-6581-13-54. eCollection 2014.
2
How different constituents of human plasma and low density lipoprotein determine plasma oxidizability by copper.人类血浆和低密度脂蛋白的不同成分如何决定铜对血浆的氧化能力。
Chem Phys Lipids. 1998 Jan;91(1):39-52. doi: 10.1016/s0009-3084(97)00092-3.
3
Oxidation resistance of LDL is correlated with vitamin E status in beta-thalassemia intermedia.中间型β地中海贫血患者中低密度脂蛋白的抗氧化性与维生素E状态相关。
Atherosclerosis. 1998 Apr;137(2):429-35. doi: 10.1016/s0021-9150(97)00300-6.
4
Oxidative structural modifications of low density lipoprotein in homozygous familial hypercholesterolemia.纯合子家族性高胆固醇血症中低密度脂蛋白的氧化结构修饰
Atherosclerosis. 1995 Dec;118(2):259-73. doi: 10.1016/0021-9150(95)05612-2.
5
Ex vivo low-density lipoprotein oxidizability and in vivo lipid peroxidation in patients on CAPD.持续性非卧床腹膜透析患者的体外低密度脂蛋白氧化能力及体内脂质过氧化情况
Kidney Int Suppl. 2001 Feb;78:S128-36. doi: 10.1046/j.1523-1755.2001.59780128.x.
6
Low-density lipoprotein (LDL) oxidizability before and after LDL apheresis.低密度脂蛋白去除术前后低密度脂蛋白(LDL)的氧化能力
Metabolism. 1999 Jul;48(7):881-6. doi: 10.1016/s0026-0495(99)90223-8.
7
How different constituents of low density lipoprotein determine its oxidizability by copper: a correlational approach.低密度脂蛋白的不同成分如何通过铜来决定其氧化能力:一种相关性研究方法。
Free Radic Res. 1996 Feb;24(2):135-47. doi: 10.3109/10715769609088009.
8
Whole plasma oxidation assay as a measure of lipoprotein oxidizability.全血浆氧化测定作为脂蛋白氧化能力的一种衡量方法。
Biofactors. 1997;6(2):99-109. doi: 10.1002/biof.5520060203.
9
Enhanced susceptibility of low-density lipoprotein to in vitro oxidation in type 1 and type 2 diabetic patients.
Clin Chim Acta. 1995 Aug 14;239(2):131-41. doi: 10.1016/0009-8981(95)06106-n.
10
LDL oxidizability and antioxidative status of plasma in vegetarians.素食者血浆中低密度脂蛋白的氧化能力及抗氧化状态
Ann Nutr Metab. 1998;42(6):328-32. doi: 10.1159/000012752.

本文引用的文献

1
Oxidative susceptibility of unfractionated serum or plasma: response to antioxidants in vitro and to antioxidant supplementation.未分级血清或血浆的氧化易感性:体外对抗氧化剂的反应及抗氧化剂补充的影响。
Clin Chem. 2005 Nov;51(11):2138-44. doi: 10.1373/clinchem.2005.051078. Epub 2005 Aug 25.
2
Hypocholesterolemic and antiatherosclerotic effect of flax lignan complex isolated from flaxseed.从亚麻籽中分离出的亚麻木脂素复合物的降胆固醇和抗动脉粥样硬化作用。
Atherosclerosis. 2005 Apr;179(2):269-75. doi: 10.1016/j.atherosclerosis.2004.11.012. Epub 2005 Jan 26.
3
Conjugated dienes: a critical trait of lipoprotein oxidizability in renal fibrosis.
共轭二烯:肾纤维化中脂蛋白氧化能力的关键特征。
Nephrol Dial Transplant. 2001 Aug;16(8):1598-606. doi: 10.1093/ndt/16.8.1598.
4
A simple method to assess the oxidative susceptibility of low density lipoproteins.一种评估低密度脂蛋白氧化易感性的简单方法。
BMC Clin Pathol. 2001;1(1):1. doi: 10.1186/1472-6890-1-1.
5
Normal high density lipoprotein inhibits three steps in the formation of mildly oxidized low density lipoprotein: steps 2 and 3.正常高密度脂蛋白抑制轻度氧化低密度脂蛋白形成过程中的三个步骤:步骤2和步骤3。
J Lipid Res. 2000 Sep;41(9):1495-508.
6
Regression of atherosclerosis induced by liver-directed gene transfer of apolipoprotein A-I in mice.载脂蛋白A-I基因经肝脏靶向性导入小鼠后对动脉粥样硬化的消退作用
Circulation. 1999 Oct 26;100(17):1816-22. doi: 10.1161/01.cir.100.17.1816.
7
Measurement of oxidizability of blood plasma.血浆氧化能力的测定。
Methods Enzymol. 1999;299:35-49. doi: 10.1016/s0076-6879(99)99007-9.
8
Apolipoprotein A-I(Zavalla) (Leu159-->Pro): HDL cholesterol deficiency in a kindred associated with premature coronary artery disease.
Arterioscler Thromb Vasc Biol. 1998 Aug;18(8):1242-7. doi: 10.1161/01.atv.18.8.1242.
9
Prediction of coronary heart disease using risk factor categories.使用风险因素类别预测冠心病。
Circulation. 1998 May 12;97(18):1837-47. doi: 10.1161/01.cir.97.18.1837.
10
Low density lipoprotein oxidation and its pathobiological significance.低密度脂蛋白氧化及其病理生物学意义。
J Biol Chem. 1997 Aug 22;272(34):20963-6. doi: 10.1074/jbc.272.34.20963.