Suppr超能文献

由雌激素受体/孕激素受体/人表皮生长因子受体2亚型定义的乳腺癌生存率以及根据肿瘤分级和免疫组化生物标志物的替代分类

Breast Cancer Survival Defined by the ER/PR/HER2 Subtypes and a Surrogate Classification according to Tumor Grade and Immunohistochemical Biomarkers.

作者信息

Parise Carol A, Caggiano Vincent

机构信息

Sutter Institute for Medical Research, 2801 Capitol Avenue, Suite 400, Sacramento, CA 95816, USA.

出版信息

J Cancer Epidemiol. 2014;2014:469251. doi: 10.1155/2014/469251. Epub 2014 May 26.

Abstract

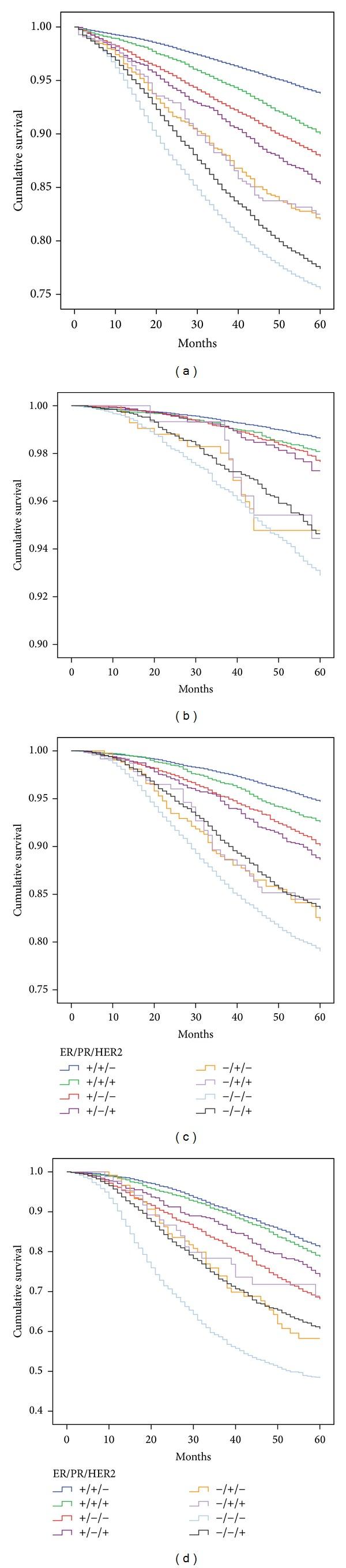
Introduction. ER, PR, and HER2 are routinely available in breast cancer specimens. The purpose of this study is to contrast breast cancer-specific survival for the eight ER/PR/HER2 subtypes with survival of an immunohistochemical surrogate for the molecular subtype based on the ER/PR/HER2 subtypes and tumor grade. Methods. We identified 123,780 cases of stages 1-3 primary female invasive breast cancer from California Cancer Registry. The surrogate classification was derived using ER/PR/HER2 and tumor grade. Kaplan-Meier survival analysis and Cox proportional hazards modeling were used to assess differences in survival and risk of mortality for the ER/PR/HER2 subtypes and surrogate classification within each stage. Results. The luminal B/HER2- surrogate classification had a higher risk of mortality than the luminal B/HER2+ for all stages of disease. There was no difference in risk of mortality between the ER+/PR+/HER2- and ER+/PR+/HER2+ in stage 3. With one exception in stage 3, the ER-negative subtypes all had an increased risk of mortality when compared with the ER-positive subtypes. Conclusions. Assessment of survival using ER/PR/HER2 illustrates the heterogeneity of HER2+ subtypes. The surrogate classification provides clear separation in survival and adjusted mortality but underestimates the wide variability within the subtypes that make up the classification.

摘要

引言。雌激素受体(ER)、孕激素受体(PR)和人表皮生长因子受体2(HER2)在乳腺癌标本中常规可得。本研究的目的是对比基于ER/PR/HER2亚型和肿瘤分级的8种ER/PR/HER2分子亚型的乳腺癌特异性生存率与免疫组化替代分子亚型的生存率。方法。我们从加利福尼亚癌症登记处识别出123780例1-3期原发性女性浸润性乳腺癌病例。替代分类是使用ER/PR/HER2和肿瘤分级得出的。采用Kaplan-Meier生存分析和Cox比例风险模型来评估各期内ER/PR/HER2亚型和替代分类在生存率和死亡风险上的差异。结果。在疾病的所有阶段,管腔B/HER2-替代分类的死亡风险均高于管腔B/HER2+。在3期,ER+/PR+/HER2-和ER+/PR+/HER2+的死亡风险没有差异。除3期有一个例外情况外,与ER阳性亚型相比,ER阴性亚型的死亡风险均增加。结论。使用ER/PR/HER2评估生存率说明了HER2阳性亚型的异质性。替代分类在生存率和校正死亡率方面有明显区分,但低估了构成该分类的各亚型内的广泛变异性。

https://cdn.ncbi.nlm.nih.gov/pmc/blobs/eb3e/4058253/8be2a1606ece/JCE2014-469251.001.jpg

文献AI研究员

20分钟写一篇综述,助力文献阅读效率提升50倍。

立即体验

用中文搜PubMed

大模型驱动的PubMed中文搜索引擎

马上搜索

文档翻译

学术文献翻译模型,支持多种主流文档格式。

立即体验