Suppr超能文献

弗莱堡共病指数与查尔森共病指数在预测新诊断多发性骨髓瘤老年患者总生存方面的比较。

Comparison of the Freiburg and Charlson comorbidity indices in predicting overall survival in elderly patients with newly diagnosed multiple myeloma.

作者信息

Kim Sung Min, Kim Moon Jin, Jung Hyun Ae, Kim Kihyun, Kim Seok Jin, Jang Jun Ho, Kim Won Seog, Jung Chul Won

机构信息

Division of Hematology-Oncology, Department of Medicine, Samsung Medical Center, School of Medicine, Sungkyunkwan University, 81 Irwon-ro, Gangnam-gu, Seoul 135-710, Republic of Korea.

出版信息

Biomed Res Int. 2014;2014:437852. doi: 10.1155/2014/437852. Epub 2014 Jul 10.

Abstract

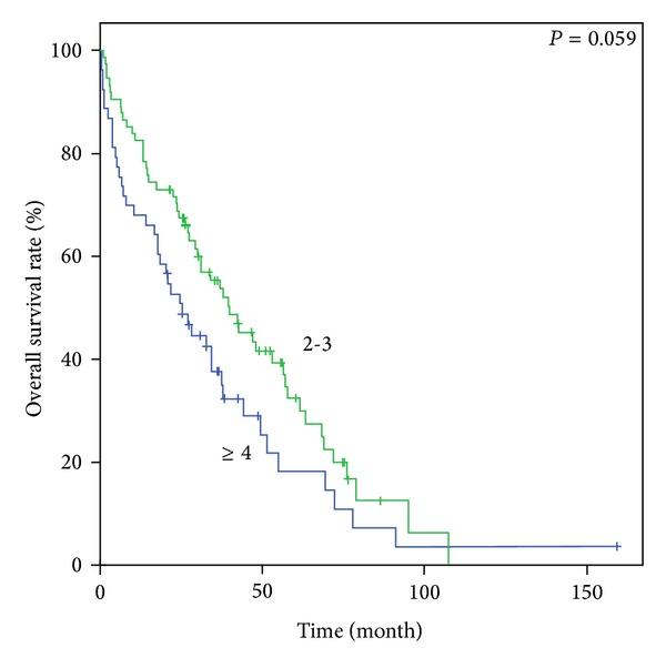
Multiple myeloma occurs primarily in elderly patients. Considering the high prevalence of comorbidities, comorbidity is an important issue for the management of myeloma. However, the impact of comorbidity on clinical outcomes has not been fully investigated. We retrospectively analyzed patients with newly diagnosed myeloma. Comorbidities were assessed based on the Charlson comorbidity index (CCI) and the Freiburg comorbidity index (FCI). The CCI is a summary measure of 19 comorbid conditions. FCI is determined by performance status, renal impairment, and lung disease. This study included 127 patients with a median age of 71 years. Approximately half of the patients had additional disorders at the time of diagnosis, and diabetes mellitus was the most frequent diagnosis (18.9%). The most significant factors for prognosis among patient-related conditions were a history of solid cancer and performance status (ECOG≥2). The FCI score was divided into 3 groups (0, 1, and 2-3), and the CCI score was divided into 2 groups (2-3 and ≥4). FCI was a strong prognostic tool for OS (P>0.001) and predicted clinical outcome better than CCI (P=0.059). In conclusion, FCI was more useful than CCI in predicting overall survival in elderly patients with myeloma.

摘要

多发性骨髓瘤主要发生于老年患者。鉴于合并症的高患病率,合并症是骨髓瘤管理中的一个重要问题。然而,合并症对临床结局的影响尚未得到充分研究。我们对新诊断的骨髓瘤患者进行了回顾性分析。基于查尔森合并症指数(CCI)和弗莱堡合并症指数(FCI)对合并症进行评估。CCI是19种合并症的综合测量指标。FCI由体能状态、肾功能损害和肺部疾病决定。本研究纳入了127例患者,中位年龄为71岁。大约一半的患者在诊断时伴有其他疾病,糖尿病是最常见的诊断疾病(18.9%)。在患者相关情况中,对预后影响最显著的因素是实体癌病史和体能状态(东部肿瘤协作组≥2)。FCI评分分为3组(0、1和2 - 3),CCI评分分为2组(2 - 3和≥4)。FCI是总生存期(OS)的有力预后工具(P>0.001),并且比CCI能更好地预测临床结局(P = 0.059)。总之,在预测老年骨髓瘤患者的总生存期方面FCI比CCI更有用。

https://cdn.ncbi.nlm.nih.gov/pmc/blobs/3a43/4119725/023f9f4531e0/BMRI2014-437852.001.jpg

文献AI研究员

20分钟写一篇综述,助力文献阅读效率提升50倍。

立即体验

用中文搜PubMed

大模型驱动的PubMed中文搜索引擎

马上搜索

文档翻译

学术文献翻译模型,支持多种主流文档格式。

立即体验