Suppr超能文献

药物及生物流体中吡拉西坦和左乙拉西坦同步分析新方法的开发:在稳定性研究中的应用

Development of new method for simultaneous analysis of piracetam and levetiracetam in pharmaceuticals and biological fluids: application in stability studies.

作者信息

Siddiqui Farhan Ahmed, Sher Nawab, Shafi Nighat, Wafa Sial Alisha, Ahmad Mansoor, Naseem Huma

机构信息

Faculty of Pharmacy, Federal Urdu University Arts, Science and Technology, Karachi 75300, Pakistan ; Faculty of Pharmacy, Ziauddin University, Karachi 75600, Pakistan.

Department of Chemistry, University of Karachi, Karachi 75270, Pakistan.

出版信息

Biomed Res Int. 2014;2014:758283. doi: 10.1155/2014/758283. Epub 2014 Jul 8.

Abstract

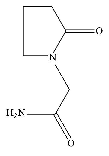
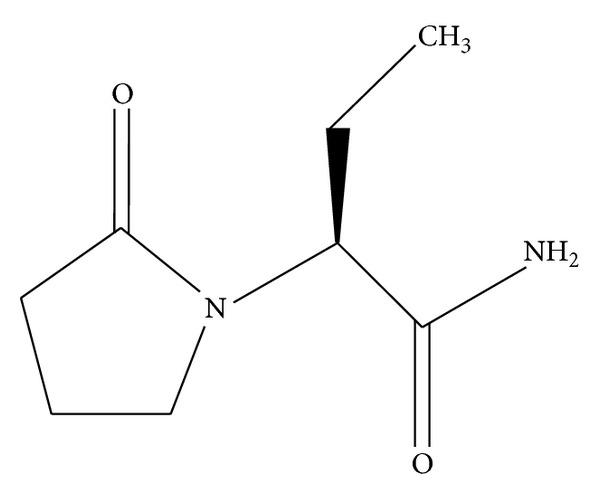
RP-HPLC ultraviolet detection simultaneous quantification of piracetam and levetiracetam has been developed and validated. The chromatography was obtained on a Nucleosil C18 column of 25 cm×0.46 cm, 10 μm, dimension. The mobile phase was a (70:30 v/v) mixture of 0.1 g/L of triethylamine and acetonitrile. Smooth flow of mobile phase at 1 mL/min was set and 205 nm wavelength was selected. Results were evaluated through statistical parameters which qualify the method reproducibility and selectivity for the quantification of piracetam, levetiracetam, and their impurities hence proving stability-indicating properties. The proposed method is significantly important, permitting the separation of the main constituent piracetam from levetiracetam. Linear behavior was observed between 20 ng/mL and 10,000 ng/mL for both drugs. The proposed method was checked in bulk drugs, dosage formulations, physiological condition, and clinical investigations and excellent outcome was witnessed.

摘要

已开发并验证了反相高效液相色谱法(RP-HPLC)紫外检测同时定量吡拉西坦和左乙拉西坦的方法。色谱分析在尺寸为25 cm×0.46 cm、10 μm的Nucleosil C18柱上进行。流动相是0.1 g/L三乙胺与乙腈的(70:30 v/v)混合物。设定流动相流速为1 mL/min,选择205 nm波长。通过统计参数评估结果,这些参数可确定该方法对吡拉西坦、左乙拉西坦及其杂质定量的重现性和选择性,从而证明其稳定性指示特性。所提出的方法非常重要,能够将主要成分吡拉西坦与左乙拉西坦分离。两种药物在20 ng/mL至10,000 ng/mL之间均呈现线性关系。该方法在原料药、剂型、生理条件和临床研究中进行了检验,取得了良好的结果。

https://cdn.ncbi.nlm.nih.gov/pmc/blobs/be32/4121148/45516a1f5ce2/BMRI2014-758283.001.jpg

文献AI研究员

20分钟写一篇综述,助力文献阅读效率提升50倍。

立即体验

用中文搜PubMed

大模型驱动的PubMed中文搜索引擎

马上搜索

文档翻译

学术文献翻译模型,支持多种主流文档格式。

立即体验