Burgess Stephen, Daniel Rhian M, Butterworth Adam S, Thompson Simon G
Department of Public Health and Primary Care, University of Cambridge, Cambridge, UK and Department of Medical Statistics, London School of Hygiene and Tropical Medicine, London, UK
Department of Public Health and Primary Care, University of Cambridge, Cambridge, UK and Department of Medical Statistics, London School of Hygiene and Tropical Medicine, London, UK.
Int J Epidemiol. 2015 Apr;44(2):484-95. doi: 10.1093/ije/dyu176. Epub 2014 Aug 22.
Mendelian randomization uses genetic variants, assumed to be instrumental variables for a particular exposure, to estimate the causal effect of that exposure on an outcome. If the instrumental variable criteria are satisfied, the resulting estimator is consistent even in the presence of unmeasured confounding and reverse causation.
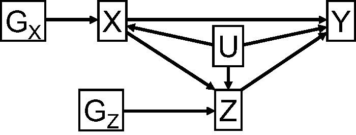
We extend the Mendelian randomization paradigm to investigate more complex networks of relationships between variables, in particular where some of the effect of an exposure on the outcome may operate through an intermediate variable (a mediator). If instrumental variables for the exposure and mediator are available, direct and indirect effects of the exposure on the outcome can be estimated, for example using either a regression-based method or structural equation models. The direction of effect between the exposure and a possible mediator can also be assessed. Methods are illustrated in an applied example considering causal relationships between body mass index, C-reactive protein and uric acid.
These estimators are consistent in the presence of unmeasured confounding if, in addition to the instrumental variable assumptions, the effects of both the exposure on the mediator and the mediator on the outcome are homogeneous across individuals and linear without interactions. Nevertheless, a simulation study demonstrates that even considerable heterogeneity in these effects does not lead to bias in the estimates.
These methods can be used to estimate direct and indirect causal effects in a mediation setting, and have potential for the investigation of more complex networks between multiple interrelated exposures and disease outcomes.
孟德尔随机化利用被假定为特定暴露的工具变量的基因变异,来估计该暴露对一个结局的因果效应。如果满足工具变量标准,即使存在未测量的混杂因素和反向因果关系,所得估计量也是一致的。
我们扩展了孟德尔随机化范式,以研究变量之间更复杂的关系网络,特别是在暴露对结局的部分效应可能通过中间变量(中介变量)起作用的情况下。如果有暴露和中介变量的工具变量,就可以估计暴露对结局的直接和间接效应,例如使用基于回归的方法或结构方程模型。暴露与可能的中介变量之间的效应方向也可以评估。通过一个考虑体重指数、C反应蛋白和尿酸之间因果关系的应用实例对方法进行了说明。
如果除了工具变量假设外,暴露对中介变量的效应以及中介变量对结局的效应在个体间是同质的、线性的且无相互作用,那么在存在未测量的混杂因素时,这些估计量是一致的。然而,一项模拟研究表明,即使这些效应存在相当大的异质性,也不会导致估计偏差。
这些方法可用于估计中介环境中的直接和间接因果效应,并且有潜力用于研究多个相互关联的暴露与疾病结局之间更复杂的网络。