Suppr超能文献

增强矢量介子扇区对中子星物质性质的影响。

The influence of the enhanced vector meson sector on the properties of the matter of neutron stars.

作者信息

Bednarek Ilona, Manka Ryszard, Pienkos Monika

机构信息

Department of Astrophysics and Cosmology, Institute of Physics, University of Silesia, Katowice, Poland.

Independent Researcher, Katowice, Poland.

出版信息

PLoS One. 2014 Sep 4;9(9):e106368. doi: 10.1371/journal.pone.0106368. eCollection 2014.

Abstract

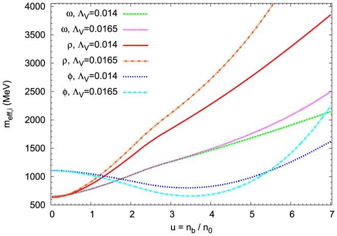
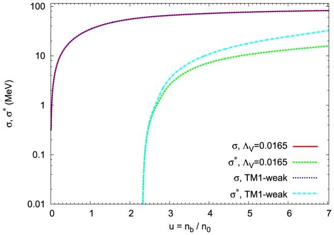
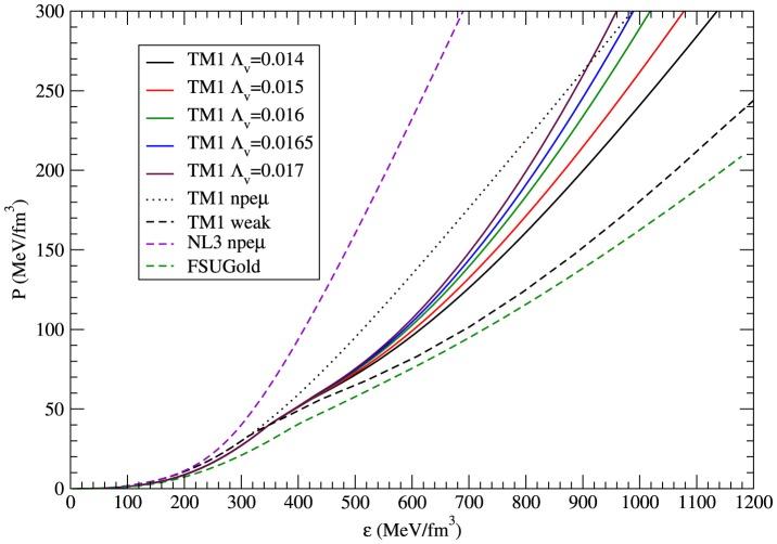
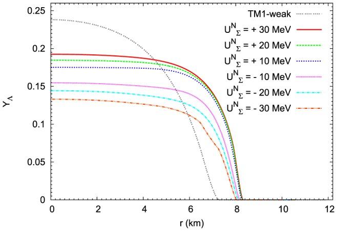
This paper gives an overview of the model of a neutron star with non-zero strangeness constructed within the framework of the nonlinear realization of the chiral SU(3)L x SU(3)R symmetry. The emphasis is put on the physical properties of the matter of a neutron star as well as on its internal structure. The obtained solution is particularly aimed at the problem of the construction of a theoretical model of a neutron star matter with hyperons that will give high value of the maximum mass.

摘要

本文概述了在手征SU(3)L×SU(3)R对称性非线性实现框架内构建的具有非零奇异数的中子星模型。重点在于中子星物质的物理性质及其内部结构。所获得的解特别针对构建具有超子的中子星物质理论模型的问题,该模型将给出较高的最大质量值。

https://cdn.ncbi.nlm.nih.gov/pmc/blobs/4a61/4154698/77879835b97d/pone.0106368.g001.jpg

文献AI研究员

20分钟写一篇综述,助力文献阅读效率提升50倍。

立即体验

用中文搜PubMed

大模型驱动的PubMed中文搜索引擎

马上搜索

文档翻译

学术文献翻译模型,支持多种主流文档格式。

立即体验