Suppr超能文献

在孟德尔随机化研究中使用二元基因型检验非线性因果效应:在酒精与心血管性状中的应用

Testing for non-linear causal effects using a binary genotype in a Mendelian randomization study: application to alcohol and cardiovascular traits.

作者信息

Silverwood Richard J, Holmes Michael V, Dale Caroline E, Lawlor Debbie A, Whittaker John C, Smith George Davey, Leon David A, Palmer Tom, Keating Brendan J, Zuccolo Luisa, Casas Juan P, Dudbridge Frank

机构信息

Faculty of Epidemiology and Population Health, Centre for Statistical Methodology and Bloomsbury Centre for Genetic Epidemiology and Statistics, London School of Hygiene and Tropical Medicine, London, UK, Department of Epidemiology and Public Health, University College London, London, UK, MRC Integrative Epidemiology Unit and School of Social and Community Medicine, University of Bristol, Bristol, UK, Genetics, R & D, GlaxoSmithKline, Stevenage, UK, Division of Health Sciences, University of Warwick, Warwick, Coventry, UK, Center for Applied Genomics, Abramson Research Center, Children's Hospital of Philadelphia, Philadelphia, PA, USA and Institute of Cardiovascular Science, University College London, London, UK Faculty of Epidemiology and Population Health, Centre for Statistical Methodology and Bloomsbury Centre for Genetic Epidemiology and Statistics, London School of Hygiene and Tropical Medicine, London, UK, Department of Epidemiology and Public Health, University College London, London, UK, MRC Integrative Epidemiology Unit and School of Social and Community Medicine, University of Bristol, Bristol, UK, Genetics, R & D, GlaxoSmithKline, Stevenage, UK, Division of Health Sciences, University of Warwick, Warwick, Coventry, UK, Center for Applied Genomics, Abramson Research Center, Children's Hospital of Philadelphia, Philadelphia, PA, USA and Institute of Cardiovascular Science, University College London, London, UK Faculty of Epidemiology and Population Health, Centre for Statistical Methodology and Bloomsbury Centre for Genetic Epidemiology and Statistics, London School of Hygiene and Tropical Medicine, London, UK, Department of Epidemiology and Public Health, University College London, London, UK, MRC Integrative Epidemiology Unit and School of Social and Community Medicine, University of Bristol, Bristol, UK, Genetics, R & D, GlaxoSmithKline, Stevenage, UK, Division of Health Sciences, University of Warwick, Warwick, Coventry, UK, Center for Applied Genomics

Faculty of Epidemiology and Population Health, Centre for Statistical Methodology and Bloomsbury Centre for Genetic Epidemiology and Statistics, London School of Hygiene and Tropical Medicine, London, UK, Department of Epidemiology and Public Health, University College London, London, UK, MRC Integrative Epidemiology Unit and School of Social and Community Medicine, University of Bristol, Bristol, UK, Genetics, R & D, GlaxoSmithKline, Stevenage, UK, Division of Health Sciences, University of Warwick, Warwick, Coventry, UK, Center for Applied Genomics, Abramson Research Center, Children's Hospital of Philadelphia, Philadelphia, PA, USA and Institute of Cardiovascular Science, University College London, London, UK Faculty of Epidemiology and Population Health, Centre for Statistical Methodology and Bloomsbury Centre for Genetic Epidemiology and Statistics, London School of Hygiene and Tropical Medicine, London, UK, Department of Epidemiology and Public Health, University College London, London, UK, MRC Integrative Epidemiology Unit and School of Social and Community Medicine, University of Bristol, Bristol, UK, Genetics, R & D, GlaxoSmithKline, Stevenage, UK, Division of Health Sciences, University of Warwick, Warwick, Coventry, UK, Center for Applied Genomics, Abramson Research Center, Children's Hospital of Philadelphia, Philadelphia, PA, USA and Institute of Cardiovascular Science, University College London, London, UK.

出版信息

Int J Epidemiol. 2014 Dec;43(6):1781-90. doi: 10.1093/ije/dyu187. Epub 2014 Sep 5.

Abstract

BACKGROUND

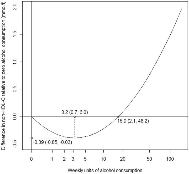
Mendelian randomization studies have so far restricted attention to linear associations relating the genetic instrument to the exposure, and the exposure to the outcome. In some cases, however, observational data suggest a non-linear association between exposure and outcome. For example, alcohol consumption is consistently reported as having a U-shaped association with cardiovascular events. In principle, Mendelian randomization could address concerns that the apparent protective effect of light-to-moderate drinking might reflect 'sick-quitters' and confounding.

METHODS

The Alcohol-ADH1B Consortium was established to study the causal effects of alcohol consumption on cardiovascular events and biomarkers, using the single nucleotide polymorphism rs1229984 in ADH1B as a genetic instrument. To assess non-linear causal effects in this study, we propose a novel method based on estimating local average treatment effects for discrete levels of the exposure range, then testing for a linear trend in those effects. Our method requires an assumption that the instrument has the same effect on exposure in all individuals. We conduct simulations examining the robustness of the method to violations of this assumption, and apply the method to the Alcohol-ADH1B Consortium data.

RESULTS

Our method gave a conservative test for non-linearity under realistic violations of the key assumption. We found evidence for a non-linear causal effect of alcohol intake on several cardiovascular traits.

CONCLUSIONS

We believe our method is useful for inferring departure from linearity when only a binary instrument is available. We estimated non-linear causal effects of alcohol intake which could not have been estimated through standard instrumental variable approaches.

摘要

背景

孟德尔随机化研究目前仅关注基因工具与暴露因素之间以及暴露因素与结局之间的线性关联。然而,在某些情况下,观察性数据表明暴露因素与结局之间存在非线性关联。例如,饮酒与心血管事件之间一直被报道呈U形关联。原则上,孟德尔随机化可以解决一些担忧,即轻度至中度饮酒的明显保护作用可能反映了“患病戒酒者”现象和混杂因素。

方法

成立了酒精-乙醇脱氢酶1B(Alcohol-ADH1B)联盟,以乙醇脱氢酶1B中的单核苷酸多态性rs1229984作为基因工具,研究饮酒对心血管事件和生物标志物的因果效应。为了评估本研究中的非线性因果效应,我们提出了一种新方法,该方法基于估计暴露范围离散水平的局部平均治疗效果,然后检验这些效果的线性趋势。我们的方法需要一个假设,即该工具对所有个体的暴露具有相同的影响。我们进行了模拟,检验该方法在违反此假设情况下的稳健性,并将该方法应用于酒精-乙醇脱氢酶1B联盟的数据。

结果

在实际违反关键假设的情况下,我们的方法对非线性给出了保守检验。我们发现有证据表明酒精摄入量对几种心血管特征存在非线性因果效应。

结论

我们认为,当只有二元工具可用时,我们的方法对于推断偏离线性情况很有用。我们估计了酒精摄入量的非线性因果效应,这是通过标准工具变量方法无法估计的。

https://cdn.ncbi.nlm.nih.gov/pmc/blobs/a931/4276061/0d8c4a233551/dyu187f1p.jpg

文献AI研究员

20分钟写一篇综述,助力文献阅读效率提升50倍。

立即体验

用中文搜PubMed

大模型驱动的PubMed中文搜索引擎

马上搜索

文档翻译

学术文献翻译模型,支持多种主流文档格式。

立即体验