Suppr超能文献

垂直拉伸表面上的非定常对流流动与传热

Unsteady convection flow and heat transfer over a vertical stretching surface.

作者信息

Cai Wenli, Su Ning, Liu Xiangdong

机构信息

Department of Mathematical Sciences, Tsinghua University, Beijing, China.

Department of Financial Engineering, Donlinks School of Economics and Management, University of Science and Technology Beijing, Beijing, China.

出版信息

PLoS One. 2014 Sep 29;9(9):e107229. doi: 10.1371/journal.pone.0107229. eCollection 2014.

Abstract

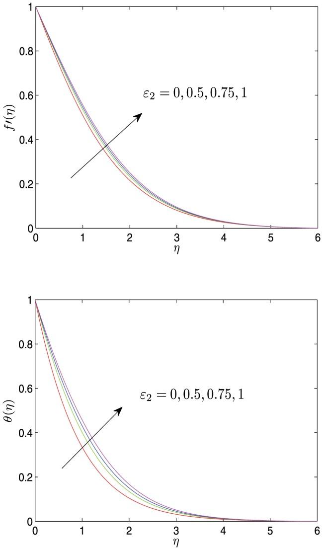
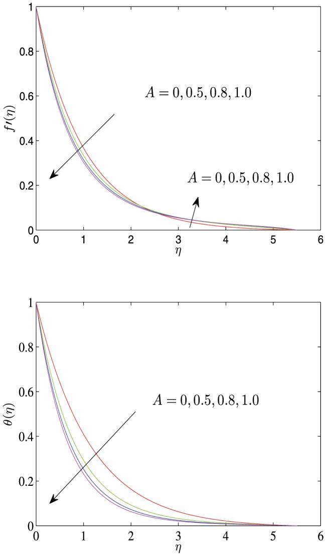
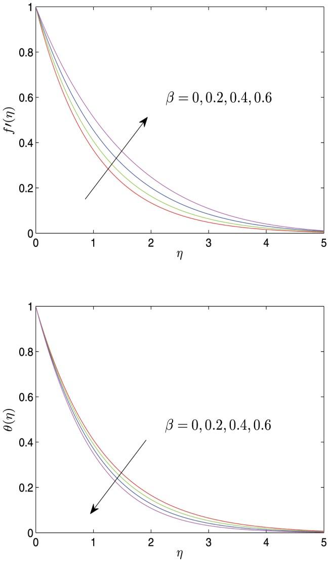
This paper investigates the effect of thermal radiation on unsteady convection flow and heat transfer over a vertical permeable stretching surface in porous medium, where the effects of temperature dependent viscosity and thermal conductivity are also considered. By using a similarity transformation, the governing time-dependent boundary layer equations for momentum and thermal energy are first transformed into coupled, non-linear ordinary differential equations with variable coefficients. Numerical solutions to these equations subject to appropriate boundary conditions are obtained by the numerical shooting technique with fourth-fifth order Runge-Kutta scheme. Numerical results show that as viscosity variation parameter increases both the absolute value of the surface friction coefficient and the absolute value of the surface temperature gradient increase whereas the temperature decreases slightly. With the increase of viscosity variation parameter, the velocity decreases near the sheet surface but increases far away from the surface of the sheet in the boundary layer. The increase in permeability parameter leads to the decrease in both the temperature and the absolute value of the surface friction coefficient, and the increase in both the velocity and the absolute value of the surface temperature gradient.

摘要

本文研究了热辐射对多孔介质中垂直可渗透拉伸表面上非稳态对流流动和传热的影响,其中还考虑了温度依赖粘度和热导率的影响。通过相似变换,首先将控制动量和热能的含时边界层方程转化为具有可变系数的耦合非线性常微分方程。采用四阶-五阶龙格-库塔格式的数值打靶技术,获得了这些方程在适当边界条件下的数值解。数值结果表明,随着粘度变化参数的增加,表面摩擦系数的绝对值和表面温度梯度的绝对值均增加,而温度略有下降。随着粘度变化参数的增加,边界层中靠近平板表面处的速度减小,但远离平板表面处的速度增加。渗透率参数的增加导致温度和表面摩擦系数绝对值的降低,以及速度和表面温度梯度绝对值的增加。

https://cdn.ncbi.nlm.nih.gov/pmc/blobs/bf56/4179276/a8a81d6c98ce/pone.0107229.g001.jpg

文献AI研究员

20分钟写一篇综述,助力文献阅读效率提升50倍。

立即体验

用中文搜PubMed

大模型驱动的PubMed中文搜索引擎

马上搜索

文档翻译

学术文献翻译模型,支持多种主流文档格式。

立即体验