Chen Siyuan, Wang Yali, Ruan Wenwen, Wang Xiaomin, Pan Chao
Department of Pathology, Zhongshan Hospital, Xiamen University, Xiamen, Fujian 361004, P.R. China.
Department of Hepatobiliary Surgery, Digestive Diseases Institute, Zhongshan Hospital, Xiamen University, Xiamen, Fujian 361004, P.R. China.
Oncol Lett. 2014 Nov;8(5):2333-2339. doi: 10.3892/ol.2014.2521. Epub 2014 Sep 10.
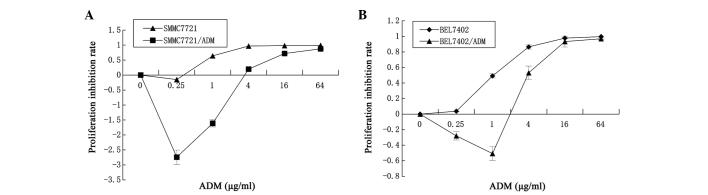
The aim of the present study was to evaluate whether downregulation of extracellular signal-regulated kinase 1/2 (ERK1/2) is involved in conventional reversal methods and whether the inhibitors of the ERK signaling pathway reverse multidrug resistance (MDR) in hepatocellular carcinoma (HCC) cells. The sensitivities of SMMC7721 and BEL7402, and the MDR SMMC7721/Adriamycin (ADM) and BEL7402/ADM HCC cell lines to ADM were evaluated by CellTiter-Glo luminescent cell viability assay through calculating the half maximal inhibitory concentration (IC) of ADM. In addition, the expression levels of ERK1/2 and phosphorylated (p)ERK1/2 were determined by western blot analysis subsequent to treatment of the cells with PD98059, an MEK inhibitor, or sorafenib, a multikinase inhibitor. The results revealed that the ADM IC for the SMMC7721/ADM cells was 16.44 times higher than that of the SMMC7721 cells (P<0.05), and the ADM IC for the BEL7402/ADM cells was 20.34 times higher than that of the BEL7402 cells (P<0.05). Following treatment with PD98059 or sorafenib, the expression levels of pERK1/2 in the MDR cells decreased in a dose-dependent manner. Subsequent to treatment with 5 μM PD98059, the ADM IC values for the SMMC7721/ADM and BEL7402/ADM cells were reduced to 0.8±0.056 and 1.583±0.284 μg/ml, respectively. Following treatment with 2.5 μM sorafenib, the ADM IC values for the SMMC7721/ADM and BEL7402/ADM cells were reduced to 0.264±0.049 and 1.099±0.135 μg/ml, respectively. Subsequent to incubation with 4 μg/ml cyclosporine A (CsA), a classic MDR reversal agent, the ADM IC values in the SMMC7721/ADM and BEL7402/ADM cells were reduced to 0.349±0.023 and 0.427±0.039 μg/ml, respectively. CsA treatment also increased the expression levels of pERK1/2 without affecting the total ERK1/2 levels. Therefore, the inhibition of ERK signaling pathway activity may be an important method to reverse the MDR of HCC cells, but is not unique.
本研究的目的是评估细胞外信号调节激酶1/2(ERK1/2)的下调是否参与传统的逆转方法,以及ERK信号通路抑制剂是否能逆转肝癌(HCC)细胞中的多药耐药性(MDR)。通过CellTiter-Glo发光细胞活力测定法计算阿霉素(ADM)的半数最大抑制浓度(IC),评估SMMC7721和BEL7402以及MDR SMMC7721/阿霉素(ADM)和BEL7402/ADM肝癌细胞系对ADM的敏感性。此外,在用MEK抑制剂PD98059或多激酶抑制剂索拉非尼处理细胞后,通过蛋白质印迹分析测定ERK1/2和磷酸化(p)ERK1/2的表达水平。结果显示,SMMC7721/ADM细胞的ADM IC比SMMC7721细胞高16.44倍(P<0.05),BEL7402/ADM细胞的ADM IC比BEL7402细胞高20.34倍(P<0.05)。用PD98059或索拉非尼处理后,MDR细胞中pERK1/2的表达水平呈剂量依赖性降低。用5μM PD98059处理后,SMMC7721/ADM和BEL7402/ADM细胞的ADM IC值分别降至0.8±0.056和1.583±0.284μg/ml。用2.5μM索拉非尼处理后,SMMC7721/ADM和BEL7402/ADM细胞的ADM IC值分别降至0.264±0.049和1.099±0.135μg/ml。用4μg/ml环孢素A(CsA)(一种经典的MDR逆转剂)孵育后,SMMC7721/ADM和BEL7402/ADM细胞中的ADM IC值分别降至0.349±0.023和0.427±0.039μg/ml。CsA处理还增加了pERK1/2的表达水平,而不影响总ERK1/2水平。因此,抑制ERK信号通路活性可能是逆转HCC细胞MDR的重要方法,但不是唯一方法。