Spinazzè Andrea, Cattaneo Andrea, Peruzzo Carlo, Cavallo Domenico M
Department of Science and High Technology, University of Insubria, via Valleggio 11, 22100 Como, Italy.
Occupational and Preventive Health Division, Macchi Foundation Hospital, Viale Borri 57, 21100 Varese, Italy.
Int J Environ Res Public Health. 2014 Oct 15;11(10):10641-62. doi: 10.3390/ijerph111010641.
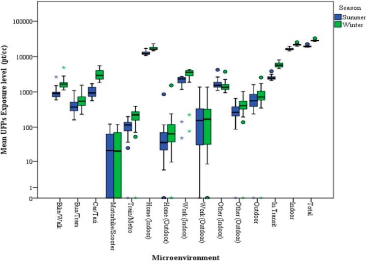
Average daily ultrafine particles (UFP) exposure of adult Milan subpopulations (defined on the basis of gender, and then for age, employment or educational status), in different exposure scenarios (typical working day in summer and winter) were simulated using a microenvironmental stochastic simulation model. The basic concept of this kind of model is that time-weighted average exposure is defined as the sum of partial microenvironmental exposures, which are determined by the product of UFP concentration and time spent in each microenvironment. In this work, environmental concentrations were derived from previous experimental studies that were based on microenvironmental measurements in the city of Milan by means of personal or individual monitoring, while time-activity patterns were derived from the EXPOLIS study. A significant difference was observed between the exposures experienced in winter (W: 28,415 pt/cm3) and summer (S: 19,558 pt/cm3). Furthermore, simulations showed a moderate difference between the total exposures experienced by women (S: 19,363 pt/cm3; W: 27,623 pt/cm3) and men (S: 18,806 pt/cm3; W: 27,897 pt/cm3). In addition, differences were found as a function of (I) age, (II) employment status and (III) educational level; accordingly, the highest total exposures resulted for (I) 55-59 years old people, (II) housewives and students and (III) people with higher educational level (more than 10 years of scholarity). Finally, significant differences were found between microenvironment-specific exposures.
使用微环境随机模拟模型,对米兰成年亚人群(根据性别定义,然后按年龄、就业或教育状况划分)在不同暴露情景(夏季和冬季的典型工作日)下的平均每日超细颗粒物(UFP)暴露情况进行了模拟。这类模型的基本概念是,时间加权平均暴露被定义为部分微环境暴露的总和,而部分微环境暴露由UFP浓度与在每个微环境中花费的时间的乘积确定。在这项研究中,环境浓度来自先前的实验研究,这些研究基于在米兰市通过个人或个体监测进行的微环境测量,而时间活动模式则来自EXPOLIS研究。观察到冬季(W:28,415 pt/cm³)和夏季(S:19,558 pt/cm³)的暴露存在显著差异。此外,模拟结果显示,女性(S:19,363 pt/cm³;W:27,623 pt/cm³)和男性(S:18,806 pt/cm³;W:27,897 pt/cm³)的总暴露存在适度差异。此外,还发现了根据(I)年龄、(II)就业状况和(III)教育水平的差异;因此,(I)55 - 59岁人群、(II)家庭主妇和学生以及(III)教育水平较高(受教育年限超过10年)的人群总暴露最高。最后,在特定微环境的暴露之间发现了显著差异。