Suppr超能文献

动物模型中血浆DNA与肿瘤状态之间的相关性。

Correlation between plasma DNA and tumor status in an animal model.

作者信息

Sueoka-Aragane Naoko, Sato Akemi, Kobayashi Naomi, Ide Masaru, Yokoo Masako, Nagano Yumi, Sueoka Eisaburo, Okada Seiji, Kimura Shinya

机构信息

Division of Hematology, Respiratory Medicine and Oncology, Department of Internal Medicine, Faculty of Medicine, Saga University, Saga, Japan.

Department of Laboratory Medicine, Saga University Hospital, Saga, Japan.

出版信息

PLoS One. 2014 Dec 2;9(12):e111881. doi: 10.1371/journal.pone.0111881. eCollection 2014.

Abstract

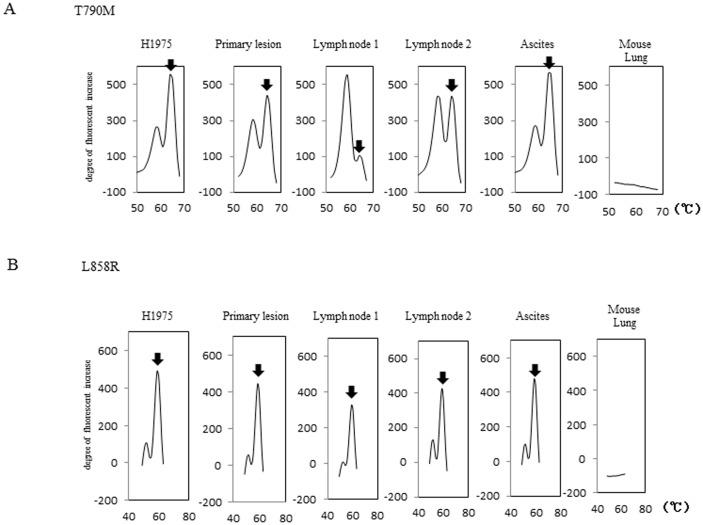
Overcoming metastasis is one of the most important issues with lung cancer. Since metastasis arises through complex steps, a suitable animal model is indispensable for investigation of metastasis. To establish an animal model reflecting human metastatic lung cancers, we used NOD/SCID/Jak3null (NOJ) mice, which exhibit deficiencies in NK cell activity, macrophage and dendritic cell function, and complement activation, as well as T and B cell deficiencies. After screening twenty human lung cancer cell lines through expression patterns of E-cadherin and vimentin according to epithelial mesenchymal transition features, an H1975 cell line carrying EGFR mutations, L858R and T790M, was selected for investigation. Inoculation of the cells into the dorsal flanks caused systemic metastases after one month in lymph nodes, liver, lung, and peritoneum, suggesting that metastases occurred both lymphogenically and hematogenously. We confirmed the existence of H1975 cells in metastatic lesions by detection of T790M and L858R using the mutation-biased PCR and quenching probe (MBP-QP) system previously established in our laboratory. In addition, tumor-derived plasma DNA could be detected using the MBP-QP method. The amount of tumor-derived DNA was associated with tumor volume, whereas an unrelated large amount of tumor-derived DNA was circulating in the presence of metastasis. We present a novel animal model with systemic metastasis with human lung cancer cells. The amount of tumor derived DNA would be related with tumor volume and tumor progression such as metastasis.

摘要

克服转移是肺癌最重要的问题之一。由于转移是通过复杂步骤产生的,因此合适的动物模型对于转移研究不可或缺。为了建立一个反映人类转移性肺癌的动物模型,我们使用了NOD/SCID/Jak3null(NOJ)小鼠,这些小鼠在NK细胞活性、巨噬细胞和树突状细胞功能以及补体激活方面存在缺陷,同时也存在T细胞和B细胞缺陷。根据上皮-间质转化特征,通过E-钙黏蛋白和波形蛋白的表达模式筛选了20种人类肺癌细胞系后,选择了携带EGFR突变L858R和T790M的H1975细胞系进行研究。将这些细胞接种到小鼠背部侧面,一个月后在淋巴结、肝脏、肺和腹膜出现全身转移,这表明转移是通过淋巴道和血道发生的。我们使用本实验室先前建立的突变偏向PCR和淬灭探针(MBP-QP)系统检测T790M和L858R,证实了转移性病变中存在H1975细胞。此外,使用MBP-QP方法可以检测到肿瘤来源的血浆DNA。肿瘤来源DNA的量与肿瘤体积相关,而在存在转移的情况下,大量无关的肿瘤来源DNA在循环中。我们提出了一种具有人类肺癌细胞全身转移的新型动物模型。肿瘤来源DNA的量与肿瘤体积以及转移等肿瘤进展相关。

https://cdn.ncbi.nlm.nih.gov/pmc/blobs/bb99/4251827/62d93aabc60e/pone.0111881.g001.jpg

文献AI研究员

20分钟写一篇综述,助力文献阅读效率提升50倍。

立即体验

用中文搜PubMed

大模型驱动的PubMed中文搜索引擎

马上搜索

文档翻译

学术文献翻译模型,支持多种主流文档格式。

立即体验