Suppr超能文献

6-(氯甲基)-4-(4-氯苯基)-2-氧代-1,2,3,4-四氢嘧啶-5-羧酸乙酯的晶体结构

Crystal structure of ethyl 6-(chloro-meth-yl)-4-(4-chloro-phen-yl)-2-oxo-1,2,3,4-tetra-hydro-pyrimidine-5-carboxyl-ate.

作者信息

Bharanidharan S, Saleem H, Gunasekaran B, Padusha M Syed Ali, Suresh M

机构信息

Department of Physics, Annamalai University, Annamalainagar 608 002, Tamil Nadu, India.

Department of Physics & Nano Technology, SRM University, SRM Nagar, Kattankulathur, Kancheepuram District, Chennai 603 203, Tamil Nadu, India.

出版信息

Acta Crystallogr Sect E Struct Rep Online. 2014 Oct 24;70(Pt 11):o1185-6. doi: 10.1107/S1600536814023046. eCollection 2014 Nov 1.

Abstract

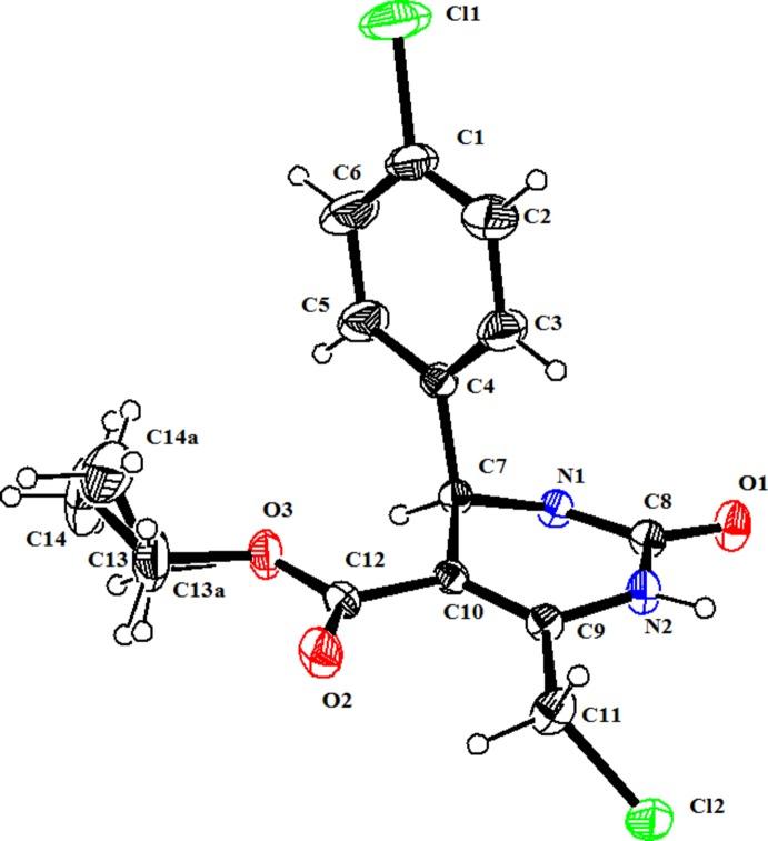
In the title compound, C14H14Cl2N2O3, the chloro-phenyl ring makes a dihedral angle of 87.08 (9)° with the tetra-hydro-pyrimidine ring. There is a short intra-molecular C-H⋯O contact present. In the crystal, mol-ecules are linked via pairs of N-H⋯O hydrogen bonds, forming inversion dimers with an R (2) 2(8) ring motif. The dimers are linked via a second pair of N-H⋯O hydrogen bonds, this time enclosing an R (4) 4(20) ring motif, forming ribbons along [100]. The ribbons are linked via C-H⋯O hydrogen bonds, forming sheets lying parallel to (001). The terminal ethyl group is disordered over two positions with an occupancy ratio of 0.654 (17):0.346 (17).

摘要

在标题化合物C₁₄H₁₄Cl₂N₂O₃中,氯苯基环与四氢嘧啶环形成的二面角为87.08 (9)°。存在一个短的分子内C—H⋯O接触。在晶体中,分子通过N—H⋯O氢键对相连,形成具有R (2) 2(8)环模式的反演二聚体。这些二聚体通过第二对N—H⋯O氢键相连,这次形成R (4) 4(20)环模式,沿[100]方向形成带状结构。这些带状结构通过C—H⋯O氢键相连,形成平行于(001)的片层。末端乙基在两个位置上无序,占有率比为0.654 (1⁷):0.346 (1⁷)。

https://cdn.ncbi.nlm.nih.gov/pmc/blobs/d6e3/4257316/5d37f7b9d35e/e-70-o1185-fig1.jpg

相似文献

1
Crystal structure of ethyl 6-(chloro-meth-yl)-4-(4-chloro-phen-yl)-2-oxo-1,2,3,4-tetra-hydro-pyrimidine-5-carboxyl-ate.
Acta Crystallogr Sect E Struct Rep Online. 2014 Oct 24;70(Pt 11):o1185-6. doi: 10.1107/S1600536814023046. eCollection 2014 Nov 1.
2
Crystal structure of ethyl 6-chloro-methyl-2-oxo-4-(2,3,4-tri-meth-oxy-phen-yl)-1,2,3,4-tetra-hydro-pyrimidine-5-carboxyl-ate.
Acta Crystallogr E Crystallogr Commun. 2015 Jun 20;71(Pt 7):821-3. doi: 10.1107/S2056989015011688. eCollection 2015 Jul 1.
3
Crystal structure of ethyl 6-methyl-2-oxo-4-(3,4,5-tri-meth-oxy-phen-yl)-1,2,3,4-tetra-hydro-pyrimidine-5-carboxyl-ate.
Acta Crystallogr E Crystallogr Commun. 2015 Feb 25;71(Pt 3):o206-7. doi: 10.1107/S2056989015003576. eCollection 2015 Mar 1.
4
Ethyl 4-[3,5-bis-(trifluoro-meth-yl)phen-yl]-6-methyl-2-oxo-1,2,3,4-tetra-hydro-pyrimidine-5-carboxyl-ate.
Acta Crystallogr Sect E Struct Rep Online. 2009 May 29;65(Pt 6):o1404-5. doi: 10.1107/S1600536809019035.
5
Ethyl 4-(4-chloro-anilino)-1-(4-chloro-phen-yl)-2-methyl-5-oxo-2,5-di-hydro-1H-pyrrole-2-carboxyl-ate.
Acta Crystallogr Sect E Struct Rep Online. 2013 Dec 3;69(Pt 12):o1761-2. doi: 10.1107/S1600536813030560.
8
Ethyl 4-(5-chloro-3-methyl-1-phenyl-1H-pyrazol-4-yl)-6-methyl-2-oxo-1,2,3,4-tetra-hydro-pyrimidine-5-carboxyl-ate.
Acta Crystallogr Sect E Struct Rep Online. 2009 May 7;65(Pt 6):o1229. doi: 10.1107/S1600536809016365.
9
Crystal structure of ethyl 6-methyl-2-sulfanyl-idene-4-(thio-phen-2-yl)-1,2,3,4-tetra-hydro-pyrimidine-5-carboxyl-ate.
Acta Crystallogr E Crystallogr Commun. 2015 Jan 3;71(Pt 2):o81-2. doi: 10.1107/S2056989014027741. eCollection 2015 Feb 1.
10
Ethyl 6-methyl-2-sulfanyl-idene-4-[4-(trifluoro-meth-yl)phen-yl]-1,2,3,4-tetra-hydro-pyrimidine-5-carboxyl-ate.
Acta Crystallogr Sect E Struct Rep Online. 2011 Jul 1;67(Pt 7):o1559-60. doi: 10.1107/S1600536811019441. Epub 2011 Jun 4.

引用本文的文献

1
Crystal structure of ethyl 6-chloro-methyl-2-oxo-4-(2,3,4-tri-meth-oxy-phen-yl)-1,2,3,4-tetra-hydro-pyrimidine-5-carboxyl-ate.
Acta Crystallogr E Crystallogr Commun. 2015 Jun 20;71(Pt 7):821-3. doi: 10.1107/S2056989015011688. eCollection 2015 Jul 1.

本文引用的文献

1
Ethyl 4-(3-bromo-phen-yl)-6-methyl-2-oxo-1,2,3,4-tetra-hydro-pyrimidine-5-carboxyl-ate.
Acta Crystallogr Sect E Struct Rep Online. 2010 Nov 27;66(Pt 12):o3325. doi: 10.1107/S1600536810049019.
2
Ethyl 4-(4-hydroxy-phen-yl)-6-methyl-2-oxo-1,2,3,4-tetra-hydro-pyrimidine-5-carboxyl-ate monohydrate.
Acta Crystallogr Sect E Struct Rep Online. 2009 Sep 19;65(Pt 10):o2502. doi: 10.1107/S1600536809037441.
3
Structure validation in chemical crystallography.
Acta Crystallogr D Biol Crystallogr. 2009 Feb;65(Pt 2):148-55. doi: 10.1107/S090744490804362X. Epub 2009 Jan 20.
4
A short history of SHELX.
Acta Crystallogr A. 2008 Jan;64(Pt 1):112-22. doi: 10.1107/S0108767307043930. Epub 2007 Dec 21.
5
Synthesis and characterization of novel hydrazide-hydrazones and the study of their structure-antituberculosis activity.
Eur J Med Chem. 2006 Nov;41(11):1253-61. doi: 10.1016/j.ejmech.2006.06.009. Epub 2006 Aug 17.

文献AI研究员

20分钟写一篇综述,助力文献阅读效率提升50倍。

立即体验

用中文搜PubMed

大模型驱动的PubMed中文搜索引擎

马上搜索

文档翻译

学术文献翻译模型,支持多种主流文档格式。

立即体验