Suppr超能文献

吸烟、饮酒和体重指数对血浆纤维蛋白原无全基因组相互作用的证据:80607名受试者的荟萃分析结果

No evidence for genome-wide interactions on plasma fibrinogen by smoking, alcohol consumption and body mass index: results from meta-analyses of 80,607 subjects.

作者信息

Baumert Jens, Huang Jie, McKnight Barbara, Sabater-Lleal Maria, Steri Maristella, Chu Audrey Y, Trompet Stella, Lopez Lorna M, Fornage Myriam, Teumer Alexander, Tang Weihong, Rudnicka Alicja R, Mälarstig Anders, Hottenga Jouke-Jan, Kavousi Maryam, Lahti Jari, Tanaka Toshiko, Hayward Caroline, Huffman Jennifer E, Morange Pierre-Emmanuel, Rose Lynda M, Basu Saonli, Rumley Ann, Stott David J, Buckley Brendan M, de Craen Anton J M, Sanna Serena, Masala Marco, Biffar Reiner, Homuth Georg, Silveira Angela, Sennblad Bengt, Goel Anuj, Watkins Hugh, Müller-Nurasyid Martina, Rückerl Regina, Taylor Kent, Chen Ming-Huei, de Geus Eco J C, Hofman Albert, Witteman Jacqueline C M, de Maat Moniek P M, Palotie Aarno, Davies Gail, Siscovick David S, Kolcic Ivana, Wild Sarah H, Song Jaejoon, McArdle Wendy L, Ford Ian, Sattar Naveed, Schlessinger David, Grotevendt Anne, Franzosi Maria Grazia, Illig Thomas, Waldenberger Melanie, Lumley Thomas, Tofler Geoffrey H, Willemsen Gonneke, Uitterlinden André G, Rivadeneira Fernando, Räikkönen Katri, Chasman Daniel I, Folsom Aaron R, Lowe Gordon D, Westendorp Rudi G J, Slagboom P Eline, Cucca Francesco, Wallaschofski Henri, Strawbridge Rona J, Seedorf Udo, Koenig Wolfgang, Bis Joshua C, Mukamal Kenneth J, van Dongen Jenny, Widen Elisabeth, Franco Oscar H, Starr John M, Liu Kiang, Ferrucci Luigi, Polasek Ozren, Wilson James F, Oudot-Mellakh Tiphaine, Campbell Harry, Navarro Pau, Bandinelli Stefania, Eriksson Johan, Boomsma Dorret I, Dehghan Abbas, Clarke Robert, Hamsten Anders, Boerwinkle Eric, Jukema J Wouter, Naitza Silvia, Ridker Paul M, Völzke Henry, Deary Ian J, Reiner Alexander P, Trégouët David-Alexandre, O'Donnell Christopher J, Strachan David P, Peters Annette, Smith Nicholas L

机构信息

Institute of Epidemiology II, Helmholtz Zentrum München, German Research Center for Environmental Health, Neuherberg, Germany.

National Heart, Lung and Blood Institute's Framingham Heart Study, Framingham, Massachusetts, United States of America; National Heart, Lung and Blood Institute Division of Intramural Research, Bethesda, Maryland, United States of America; Department of Human Genetics, Wellcome Trust Sanger Institute, Hinxton, Cambridge, United Kingdom.

出版信息

PLoS One. 2014 Dec 31;9(12):e111156. doi: 10.1371/journal.pone.0111156. eCollection 2014.

Abstract

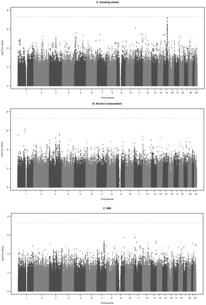
Plasma fibrinogen is an acute phase protein playing an important role in the blood coagulation cascade having strong associations with smoking, alcohol consumption and body mass index (BMI). Genome-wide association studies (GWAS) have identified a variety of gene regions associated with elevated plasma fibrinogen concentrations. However, little is yet known about how associations between environmental factors and fibrinogen might be modified by genetic variation. Therefore, we conducted large-scale meta-analyses of genome-wide interaction studies to identify possible interactions of genetic variants and smoking status, alcohol consumption or BMI on fibrinogen concentration. The present study included 80,607 subjects of European ancestry from 22 studies. Genome-wide interaction analyses were performed separately in each study for about 2.6 million single nucleotide polymorphisms (SNPs) across the 22 autosomal chromosomes. For each SNP and risk factor, we performed a linear regression under an additive genetic model including an interaction term between SNP and risk factor. Interaction estimates were meta-analysed using a fixed-effects model. No genome-wide significant interaction with smoking status, alcohol consumption or BMI was observed in the meta-analyses. The most suggestive interaction was found for smoking and rs10519203, located in the LOC123688 region on chromosome 15, with a p value of 6.2 × 10(-8). This large genome-wide interaction study including 80,607 participants found no strong evidence of interaction between genetic variants and smoking status, alcohol consumption or BMI on fibrinogen concentrations. Further studies are needed to yield deeper insight in the interplay between environmental factors and gene variants on the regulation of fibrinogen concentrations.

摘要

血浆纤维蛋白原是一种急性期蛋白,在血液凝固级联反应中起重要作用,与吸烟、饮酒和体重指数(BMI)密切相关。全基因组关联研究(GWAS)已经确定了多种与血浆纤维蛋白原浓度升高相关的基因区域。然而,关于环境因素与纤维蛋白原之间的关联如何被基因变异所改变,目前所知甚少。因此,我们进行了全基因组相互作用研究的大规模荟萃分析,以确定基因变异与吸烟状况、饮酒或BMI对纤维蛋白原浓度的可能相互作用。本研究纳入了来自22项研究的80607名欧洲血统受试者。在每项研究中,对22条常染色体上约260万个单核苷酸多态性(SNP)分别进行全基因组相互作用分析。对于每个SNP和风险因素,我们在加性遗传模型下进行线性回归,模型包括SNP与风险因素之间的相互作用项。使用固定效应模型对相互作用估计值进行荟萃分析。在荟萃分析中未观察到与吸烟状况、饮酒或BMI的全基因组显著相互作用。最具提示性的相互作用是吸烟与位于15号染色体LOC123688区域的rs10519203之间的相互作用,p值为6.2×10^(-8)。这项包括80607名参与者的大型全基因组相互作用研究没有发现基因变异与吸烟状况、饮酒或BMI对纤维蛋白原浓度之间有强烈相互作用的证据。需要进一步的研究来更深入地了解环境因素和基因变异在纤维蛋白原浓度调节中的相互作用。

https://cdn.ncbi.nlm.nih.gov/pmc/blobs/af6f/4281156/fabc22f8be2d/pone.0111156.g001.jpg

文献AI研究员

20分钟写一篇综述,助力文献阅读效率提升50倍。

立即体验

用中文搜PubMed

大模型驱动的PubMed中文搜索引擎

马上搜索

文档翻译

学术文献翻译模型,支持多种主流文档格式。

立即体验