Jung Heekyung, Cho Jayun, Kim Hyung-Kee, Kim Jihye, Huh Seung
Division of Transplantation and Vascular Surgery, Department of Surgery, Kyungpook National University School of Medicine, Daegu, Korea.
Ann Surg Treat Res. 2015 Jan;88(1):35-40. doi: 10.4174/astr.2015.88.1.35. Epub 2014 Dec 26.
To determine the long-term outcomes of patients with diabetes mellitus (DM) and tissue loss who have undergone infrainguinal bypass surgery (IBS).
We retrospectively reviewed the medical records of 91 patients with DM and tissue loss who underwent IBS between July 2003 and December 2013. We determined the rates of overall survival (OS), amputation-free survival (AFS), limb salvage (LS), and graft patency (GP). In addition, we evaluated data to identify risk factors that affected long-term outcomes.
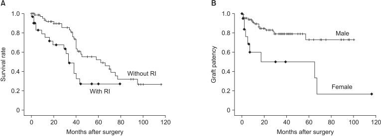
The mean age of patients was 66 ± 8 years, and 78 patients (85.7%) were men. The locations of tissue loss were toe on 76 limbs (71.6%), heel on 6 limbs (5.7%) and others on 24 limbs (22.6%). Single lesions were found in 81 limbs (76.4%). According to categorization by distal anastomosis artery, there were 57 popliteal (53.8%) and 49 infrapopliteal bypasses (46.2%). Among infrapopliteal bypasses, 5 cases (10.2%) were sequential bypasses. The OS at 1, 3, and 5 years was 90.5%, 70.9%, and 44.2%, respectively. At 1, 3, and 5 years, the LS was 92.1%, 88.9%, 88.9%, respectively; and AFS was 84.4%, 67.6%, 45.7%, respectively. At 1, 3, and 5 years, the GP was 84.8%, 74.5%, and 69.8%, respectively. Renal failure was a negative predictor for OS, and female gender was a negative predictor for GP.
IBS for patients with DM and tissue loss led to acceptable OS, AFS, LS, and GP. Active revascularization for patients with DM and tissue loss can reduce the risk of major amputation.
确定接受股腘以下旁路手术(IBS)的糖尿病(DM)合并组织缺损患者的长期预后。
我们回顾性分析了2003年7月至2013年12月期间接受IBS的91例DM合并组织缺损患者的病历。我们确定了总生存率(OS)、无截肢生存率(AFS)、肢体挽救率(LS)和移植物通畅率(GP)。此外,我们评估数据以识别影响长期预后的危险因素。
患者的平均年龄为66±8岁,78例(85.7%)为男性。组织缺损部位为76条肢体的足趾(71.6%)、6条肢体的足跟(5.7%)和24条肢体的其他部位(22.6%)。81条肢体(76.4%)发现单一病变。根据远端吻合动脉分类,有57例腘动脉旁路(53.8%)和49例腘以下旁路(46.2%)。在腘以下旁路中,5例(10.2%)为序贯旁路。1年、3年和5年的OS分别为90.5%、70.9%和44.2%。1年、3年和5年时,LS分别为92.1%、88.9%、88.9%;AFS分别为84.4%、67.6%、45.7%。1年、3年和5年时,GP分别为84.8%、74.5%和69.8%。肾衰竭是OS的负性预测因素,女性是GP的负性预测因素。
IBS治疗DM合并组织缺损患者可获得可接受的OS、AFS、LS和GP。对DM合并组织缺损患者积极进行血管重建可降低大截肢风险。