Welsh M J, Li M, McCann J D
Howard Hughes Medical Institute, Department of Internal Medicine, University of Iowa College of Medicine, Iowa City 52242.
J Clin Invest. 1989 Dec;84(6):2002-7. doi: 10.1172/JCI114391.
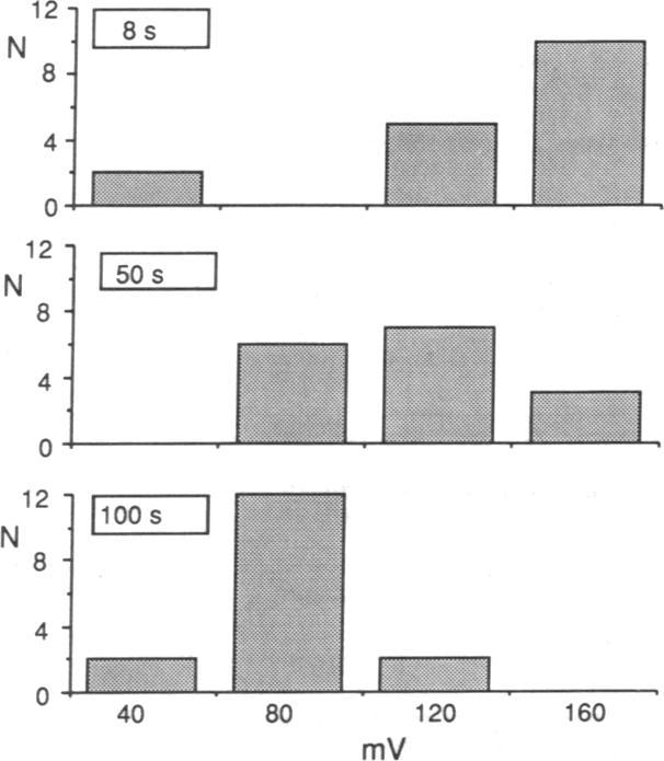
In cystic fibrosis (CF) phosphorylation-dependent activation of outwardly rectifying apical membrane Cl- channels is defective. To further understand regulation of this channel we examined several other mechanisms of channel activation in normal and CF cells. Previous studies have shown that strong membrane depolarization can activate channels in excised cell-free membrane patches. Here we show that such activation is dependent on both the absolute membrane voltage and the duration of depolarization. Moreover, activation was reversible by membrane hyperpolarization. In some cases, excising patches of membrane from the cell caused channel activation, even in the absence of depolarization. However, the frequency of channel activation with patch excision increased when bath temperature was increased from 23 to 37 degrees C. Although the channel remained in the activated state when temperature was reduced to 23 degrees C, subsequent hyperpolarization inactivated the channel. In cell-attached patches, neither depolarization nor increasing bath temperature to 37 degrees C activated channels, suggesting that neither is physiologically important in regulation of the channel. Thus changes in membrane voltage and bath temperature appear to cause a nonenzymatic change in the channel's conformation; the interactions between voltage and temperature suggest that they may affect the same process. To determine if a proteolytic alteration of the channel could also cause activation, we added trypsin to the cytosolic surface of excised membrane patches. Trypsin activated channels, which could not then be inactivated by either hyperpolarization or phosphorylation with PKC, suggesting that trypsin removed or altered a region of the channel involved in inactivation. All of these interventions activated Cl- channels from both normal and CF cells. Thus many aspects of Cl- channel activation are normal in CF; only phosphorylation-dependent activation is defective.