Suppr超能文献

室温附近铁电纳米管中的巨大电热效应。

Giant electrocaloric effect in ferroelectric nanotubes near room temperature.

作者信息

Liu Man, Wang Jie

机构信息

Department of Engineering Mechanics, School of Aeronautics and Astronautics, Zhejiang University, Hangzhou 310027, China.

出版信息

Sci Rep. 2015 Jan 12;5:7728. doi: 10.1038/srep07728.

Abstract

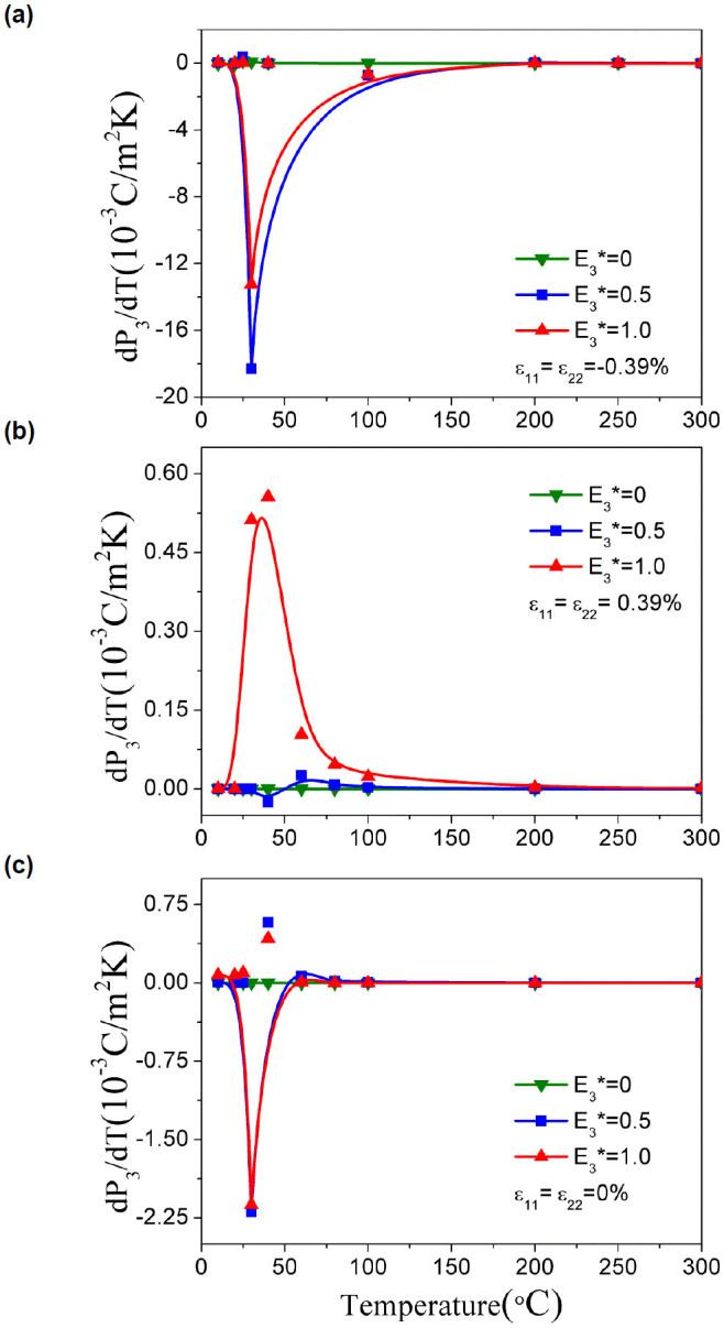
Ferroelectric perovskite oxides possess large electrocaloric effect, but only at high temperature, which limits their potential as next generation solid state cooling devices. Here, we demonstrate from phase field simulations that a giant adiabatic temperature change exhibits near room temperature in the strained ferroelectric PbTiO₃ nanotubes, which is several times in magnitude larger than that of PbTiO₃ thin films. Such giant adiabatic temperature change is attributed to the extrinsic contribution of unusual domain transition, which involves a dedicated interplay among the electric field, strain, temperature and polarization. Careful selection of external strain allows one to harness the extrinsic contribution to obtain large adiabatic temperature change in ferroelectric nanotubes near room temperature. Our finding provides a novel insight into the electrocaloric response of ferroelectric nanostructures and leads to a new strategy to tailor and improve the electrocaloric properties of ferroelectric materials through domain engineering.

摘要

铁电钙钛矿氧化物具有很大的电热效应,但仅在高温下才有,这限制了它们作为下一代固态冷却装置的潜力。在此,我们通过相场模拟证明,在应变铁电PbTiO₃纳米管中,接近室温时会出现巨大的绝热温度变化,其幅度比PbTiO₃薄膜大几倍。这种巨大的绝热温度变化归因于异常畴转变的非本征贡献,这涉及电场、应变、温度和极化之间专门的相互作用。仔细选择外部应变可以利用非本征贡献在接近室温的铁电纳米管中获得大的绝热温度变化。我们的发现为铁电纳米结构的电热响应提供了新的见解,并导致了一种通过畴工程来定制和改善铁电材料电热性能的新策略。

https://cdn.ncbi.nlm.nih.gov/pmc/blobs/0720/4289897/37f7008b1125/srep07728-f1.jpg

文献AI研究员

20分钟写一篇综述,助力文献阅读效率提升50倍。

立即体验

用中文搜PubMed

大模型驱动的PubMed中文搜索引擎

马上搜索

文档翻译

学术文献翻译模型,支持多种主流文档格式。

立即体验