Suppr超能文献

栓皮栎衰退对地中海森林更新动态影响的邻域分析。

A neighborhood analysis of the consequences of Quercus suber decline for regeneration dynamics in Mediterranean forests.

作者信息

Ibáñez Beatriz, Gómez-Aparicio Lorena, Stoll Peter, Ávila José M, Pérez-Ramos Ignacio M, Marañón Teodoro

机构信息

Instituto de Recursos Naturales y Agrobiología (IRNAS, CSIC), PO Box 1052, Sevilla 41080, Spain.

Institute for Environmental Sciences, Section Conservation Biology, University of Basel, St. Johanns-Vorstadt 10, CH-4056 Basel, Switzerland.

出版信息

PLoS One. 2015 Feb 23;10(2):e0117827. doi: 10.1371/journal.pone.0117827. eCollection 2015.

Abstract

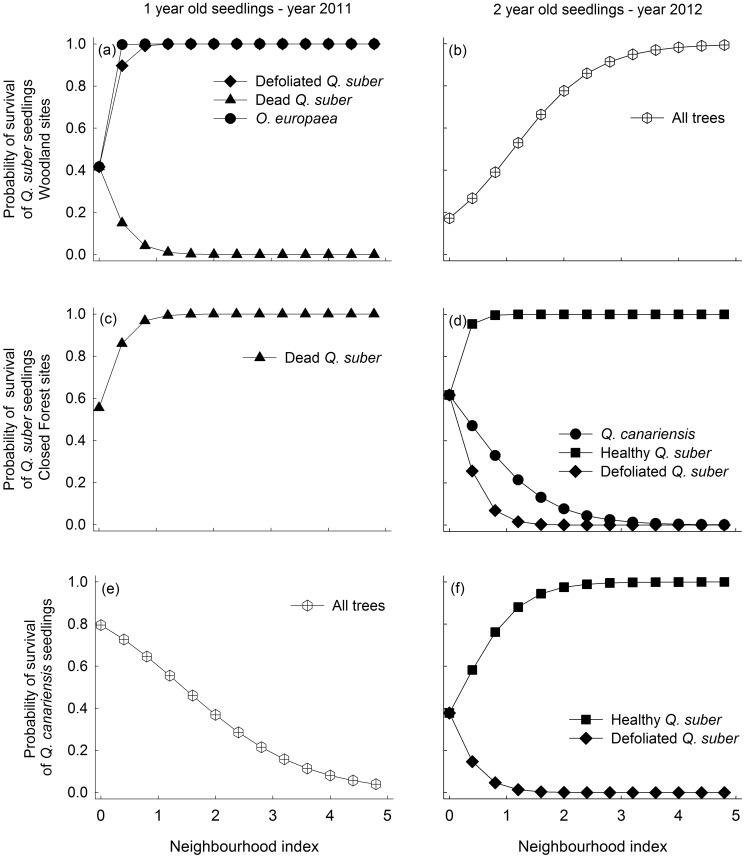
In forests, the vulnerable seedling stage is largely influenced by the canopy, which modifies the surrounding environment. Consequently, any alteration in the characteristics of the canopy, such as those promoted by forest dieback, might impact regeneration dynamics. Our work analyzes the interaction between canopy neighbors and seedlings in Mediterranean forests affected by the decline of their dominant species (Quercus suber). Our objective was to understand how the impacts of neighbor trees and shrubs on recruitment could affect future dynamics of these declining forests. Seeds of the three dominant tree species (Quercus suber, Olea europaea and Quercus canariensis) were sown in six sites during two consecutive years. Using a spatially-explicit, neighborhood approach we developed models that explained the observed spatial variation in seedling emergence, survival, growth and photochemical efficiency as a function of the size, identity, health, abundance and distribution of adult trees and shrubs in the neighborhood. We found strong neighborhood effects for all the performance estimators, particularly seedling emergence and survival. Tree neighbors positively affected emergence, independently of species identity or health. Alternatively, seedling survival was much lower in neighborhoods dominated by defoliated and dead Q. suber trees than in neighborhoods dominated by healthy trees. For the two oak species, these negative effects were consistent over the three years of the experimental seedlings. These results indicate that ongoing changes in species' relative abundance and canopy trees' health might alter the successional trajectories of Mediterranean oak-forests through neighbor-specific impacts on seedlings. The recruitment failure of dominant late-successional oaks in the gaps opened after Q. suber death would indirectly favor the establishment of other coexisting woody species, such as drought-tolerant shrubs. This could lead current forests to shift into open systems with lower tree cover. Adult canopy decline would therefore represent an additional factor threatening the recruitment of Quercus forests worldwide.

摘要

在森林中,脆弱的幼苗阶段很大程度上受树冠层影响,树冠层会改变周围环境。因此,树冠层特征的任何改变,比如由森林衰退引发的那些改变,都可能影响更新动态。我们的研究分析了受优势树种(栓皮栎)衰退影响的地中海森林中树冠层邻体与幼苗之间的相互作用。我们的目标是了解邻体树木和灌木对幼苗补充的影响如何影响这些衰退森林的未来动态。连续两年在六个地点播种了三种优势树种(栓皮栎、油橄榄和加那利栎)的种子。我们采用空间明确的邻域方法,开发了一些模型,这些模型将观察到的幼苗出土、存活、生长和光化学效率的空间变化解释为邻域内成年树木和灌木的大小、身份、健康状况、丰度和分布的函数。我们发现所有性能估计指标都有很强的邻域效应,尤其是幼苗出土和存活。树木邻体对出土有积极影响,与树种身份或健康状况无关。相比之下,在以落叶和死亡的栓皮栎树为主的邻域中,幼苗存活率远低于以健康树木为主的邻域。对于这两种栎树,在实验幼苗的三年中,这些负面影响都是一致的。这些结果表明,物种相对丰度和树冠层树木健康状况的持续变化可能通过对幼苗的邻体特异性影响改变地中海栎林的演替轨迹。栓皮栎死亡后形成的林窗中优势晚期演替栎树的补充失败将间接有利于其他共存木本物种的建立,比如耐旱灌木。这可能导致当前森林转变为树木覆盖较低的开放系统。因此,成年树冠层衰退将成为威胁全球栓皮栎林补充的另一个因素。

https://cdn.ncbi.nlm.nih.gov/pmc/blobs/9787/4338116/8e0e661599f3/pone.0117827.g001.jpg

文献AI研究员

20分钟写一篇综述,助力文献阅读效率提升50倍。

立即体验

用中文搜PubMed

大模型驱动的PubMed中文搜索引擎

马上搜索

文档翻译

学术文献翻译模型,支持多种主流文档格式。

立即体验