Suppr超能文献

辣木提取物中的生物活性成分与传统营养饲料对科宝500肉鸡生产性能的竞争作用。

Competing role of bioactive constituents in Moringa oleifera extract and conventional nutrition feed on the performance of Cobb 500 broilers.

作者信息

Karthivashan Govindarajan, Arulselvan Palanisamy, Alimon Abd Razak, Safinar Ismail Intan, Fakurazi Sharida

机构信息

Laboratory of Vaccines and Immunotherapeutics, Institute of Bioscience, Universiti Putra Malaysia, 43400 Serdang, Selangor, Malaysia.

Department of Animal Science, Faculty of Agriculture, Universiti Putra Malaysia, 43400 Selangor, Malaysia.

出版信息

Biomed Res Int. 2015;2015:970398. doi: 10.1155/2015/970398. Epub 2015 Feb 22.

Abstract

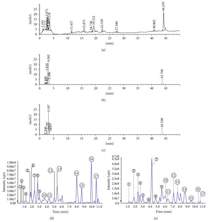
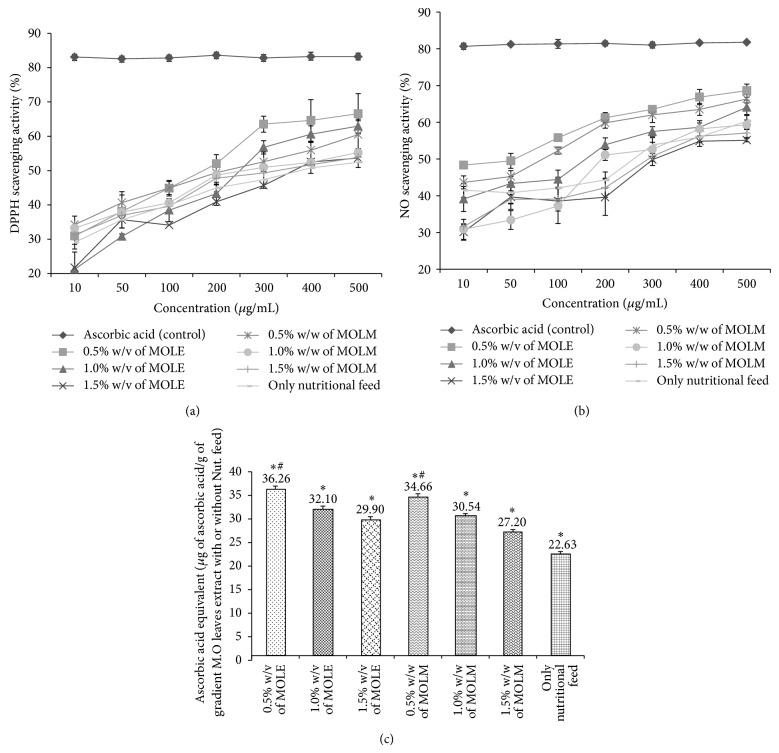
The influence of Moringa oleifera (MO) leaf extract as a dietary supplement on the growth performance and antioxidant parameters was evaluated on broiler meat and the compounds responsible for the corresponding antioxidant activity were identified. 0.5%, 1.0%, and 1.5% w/v of MO leaf aqueous extracts (MOLE) were prepared, and nutritional feed supplemented with 0%, 0.5%, 1.0%, and 1.5% w/w of MO leaf meal (MOLM) extracts were also prepared and analysed for their in vitro antioxidant potential. Furthermore, the treated broiler groups (control (T1) and treatment (T2, T3, and T4)) were evaluated for performance, meat quality, and antioxidant status. The results of this study revealed that, among the broilers fed MOLM, the broilers fed 0.5% w/w MOLM (T2) exhibited enhanced meat quality and antioxidant status (P < 0.05). However, the antioxidant activity of the MOLE is greater than that of the MOLM. The LC-MS/MS analysis of MOLM showed high expression of isoflavones and fatty acids from soy and corn source, which antagonistically inhibit the expression of the flavonoids/phenols in the MO leaves thereby masking its antioxidant effects. Thus, altering the soy and corn gradients in conventional nutrition feed with 0.5% w/w MO leaves supplement would provide an efficient and cost-effective feed supplement.

摘要

评估了辣木(MO)叶提取物作为膳食补充剂对肉鸡生长性能和抗氧化参数的影响,并鉴定了具有相应抗氧化活性的化合物。制备了0.5%、1.0%和1.5%(w/v)的MO叶水提取物(MOLE),还制备了分别添加0%、0.5%、1.0%和1.5%(w/w)MO叶粉(MOLM)提取物的营养饲料,并分析了它们的体外抗氧化潜力。此外,对处理过的肉鸡组(对照组(T1)和处理组(T2、T3和T4))的生长性能、肉质和抗氧化状态进行了评估。本研究结果表明,在饲喂MOLM的肉鸡中,饲喂0.5%(w/w)MOLM的肉鸡(T2)肉质和抗氧化状态有所改善(P < 0.05)。然而,MOLE的抗氧化活性大于MOLM。MOLM的LC-MS/MS分析表明,大豆和玉米来源的异黄酮和脂肪酸表达量较高,它们会拮抗MO叶中黄酮类/酚类的表达,从而掩盖其抗氧化作用。因此,在传统营养饲料中用0.5%(w/w)的MO叶补充剂改变大豆和玉米的比例,将提供一种高效且经济高效的饲料补充剂。

https://cdn.ncbi.nlm.nih.gov/pmc/blobs/b4cf/4352494/24224547971c/BMRI2015-970398.001.jpg

文献检索

告别复杂PubMed语法,用中文像聊天一样搜索,搜遍4000万医学文献。AI智能推荐,让科研检索更轻松。

立即免费搜索

文件翻译

保留排版,准确专业,支持PDF/Word/PPT等文件格式,支持 12+语言互译。

免费翻译文档

深度研究

AI帮你快速写综述,25分钟生成高质量综述,智能提取关键信息,辅助科研写作。

立即免费体验