Suppr超能文献

预测亚洲慢性基因1型丙型肝炎患者利巴韦林所致贫血的指标

An index to predict ribavirin-induced anemia in asian patients with chronic genotype 1 hepatitis C.

作者信息

Chen Sheng-Hung, Peng Cheng-Yuan, Lai Hsueh-Chou, Su Wen-Pang, Lin Chia-Hsin, Li Yu-Fen, Chuang Po-Heng, Chen Ching-Hsiang

机构信息

Institute of Clinical Medical Science, School of Medicine, China Medical University, Taichung, Taiwan ; School of Medicine, China Medical University, Taichung, Taiwan ; Division of Hepatogastroenterology, Department of Internal Medicine, China Medical University Hospital, Taichung, Taiwan.

School of Medicine, China Medical University, Taichung, Taiwan ; Division of Hepatogastroenterology, Department of Internal Medicine, China Medical University Hospital, Taichung, Taiwan.

出版信息

Hepat Mon. 2015 Mar 20;15(3):e27148. doi: 10.5812/hepatmon.27148. eCollection 2015 Mar.

Abstract

BACKGROUND

Single-nucleotide polymorphisms (SNP) in the inosine triphosphate pyrophosphatase (ITPA) gene correlate with ribavirin (RBV)-induced anemia in patients with chronic hepatitis C (CHC) receiving combination therapy. Managing anemia is an early priority in the treatment process.

OBJECTIVES

The aim was to develop a predictive index based on ITPA SNP status to identify CHC patients at risk of anemia.

PATIENTS AND METHODS

A total of 418 eligible East Asian patients diagnosed with CHC genotype 1 (G1) received combination therapy in this study. Participant DNA was genotyped for a functional ITPA SNP (C/C, A/A or C/A) on chromosome 20 at rs1127354. A predictive index was constructed by incorporating independent factors identified for severe anemia events (hemoglobin < 10 g/dL). Areas under the receiver-operating characteristic curves (AUCs) represented the diagnostic accuracies of the predictive index in randomly assigned development and validation cohorts.

RESULTS

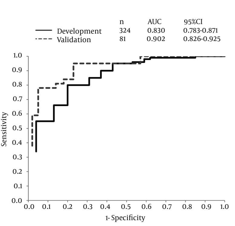
Multiple logistic regressions identified age (≥ 50 y: OR = 9.7, 95% CI = 5.0 - 18.6), ITPA rs1127354 (C/C: OR = 3.3, 95% CI = 1.8 - 5.8) and baseline hemoglobin (< 14.0 g/dL: OR 6.4, 95% CI = 3.3 - 12.1; 14.0 - 14.9: OR = 2.4, 95% CI = 1.2 - 4.6) as predictors of severe anemia throughout the treatment. For severe anemia, the predictive index incorporating age, ITPA SNP status and baseline hemoglobin yielded diagnostic accuracies (AUCs) of 0.830 (95% CI = 0.783 - 0.871) in the development (n = 324) and 0.902 (0.826 - 0.925) in the validation (n = 81) cohorts.

CONCLUSIONS

In patients with CHC G1 and receiving combination therapy, ITPA SNP-based index was an accurate and practical solution for prediction of severe anemia.

摘要

背景

肌苷三磷酸焦磷酸酶(ITPA)基因中的单核苷酸多态性(SNP)与接受联合治疗的慢性丙型肝炎(CHC)患者中利巴韦林(RBV)诱导的贫血相关。在治疗过程中,管理贫血是早期的优先事项。

目的

旨在基于ITPA SNP状态开发一种预测指数,以识别有贫血风险的CHC患者。

患者和方法

本研究中共有418名符合条件的东亚CHC 1型(G1)患者接受了联合治疗。对参与者的DNA进行基因分型,检测位于20号染色体上rs1127354处的功能性ITPA SNP(C/C、A/A或C/A)。通过纳入为严重贫血事件(血红蛋白<10 g/dL)确定的独立因素构建预测指数。受试者操作特征曲线下面积(AUC)代表预测指数在随机分配的开发和验证队列中的诊断准确性。

结果

多因素逻辑回归确定年龄(≥50岁:OR = 9.7,95%CI = 5.0 - 18.6)、ITPA rs1127354(C/C:OR = 3.3,95%CI = 1.8 - 5.8)和基线血红蛋白(<14.0 g/dL:OR 6.4,95%CI = 3.3 - 12.1;14.0 - 14.9:OR = 2.4,95%CI = 1.2 - 4.6)是整个治疗过程中严重贫血的预测因素。对于严重贫血,纳入年龄、ITPA SNP状态和基线血红蛋白的预测指数在开发队列(n = 324)中的诊断准确性(AUC)为0.830(95%CI = 0.783 - 0.871),在验证队列(n = 81)中的诊断准确性为0.902(0.826 - 0.925)。

结论

在接受联合治疗的CHC G1患者中,基于ITPA SNP的指数是预测严重贫血的准确且实用的方法。

https://cdn.ncbi.nlm.nih.gov/pmc/blobs/69f5/4377223/d80cd4276f1e/hepatmon-15-03-27148-i001.jpg

文献AI研究员

20分钟写一篇综述,助力文献阅读效率提升50倍。

立即体验

用中文搜PubMed

大模型驱动的PubMed中文搜索引擎

马上搜索

文档翻译

学术文献翻译模型,支持多种主流文档格式。

立即体验