Kitz Florian, Steinwandter Michael, Traugott Michael, Seeber Julia
Institute of Ecology, University of Innsbruck, Technikerstrasse 25, 6020 Innsbruck, Austria.
Soil Biol Biochem. 2015 Apr;83:138-141. doi: 10.1016/j.soilbio.2015.01.026.
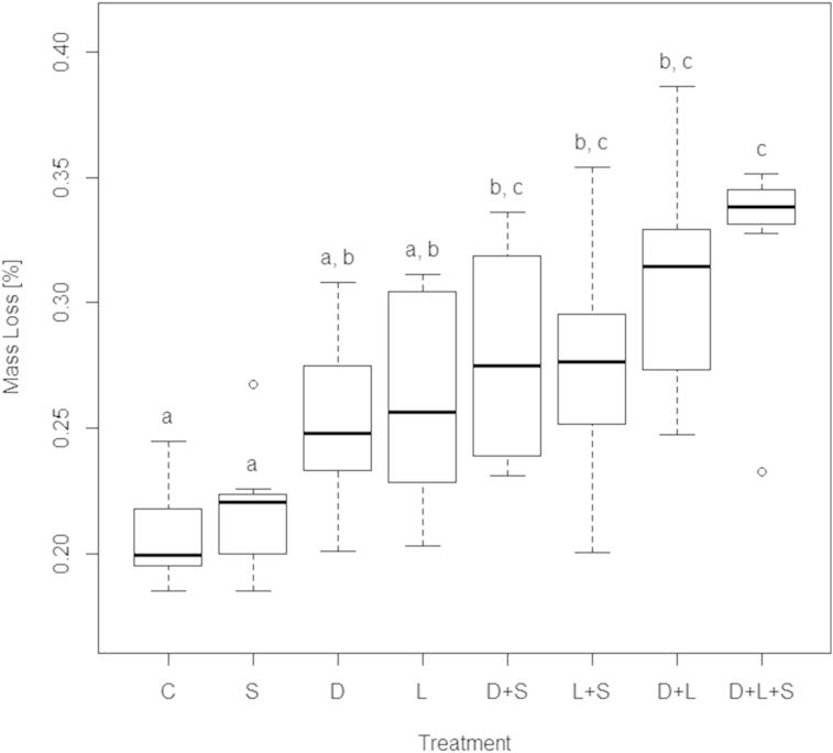
Little is known about the effect of decomposer diversity on litter decomposition in alpine areas. Especially under the premise that alpine ecosystems are very sensitive to global change and are currently undergoing extensive land-use changes, a better understanding is needed to predict how environmental change will affect litter decomposition. A mesocosm experiment was conducted to compare the effects of the most common and functionally diverse invertebrates (earthworms, millipedes and sciarid larvae) found in alpine soils on decomposition rates and to assess how decomposer diversity affects litter decomposition. Experimental and estimated (i.e. projected to field decomposer-biomass) litter mass loss was 13-33% higher in the three-species treatment. Notably, the variability in decomposition was greatly reduced when decomposer diversity was high, indicating a portfolio effect. Our results suggest that invertebrate decomposer diversity is essential for sustaining litter decomposition in alpine areas and for the stability of this service.
关于分解者多样性对高寒地区凋落物分解的影响,人们了解甚少。特别是在高寒生态系统对全球变化非常敏感且目前正经历广泛土地利用变化的前提下,需要更好地理解以预测环境变化将如何影响凋落物分解。进行了一项中宇宙实验,以比较高寒土壤中最常见且功能多样的无脊椎动物(蚯蚓、千足虫和蕈蚊幼虫)对分解速率的影响,并评估分解者多样性如何影响凋落物分解。在三种物种处理中,实验和估计(即推算至田间分解者生物量)的凋落物质量损失高出13 - 33%。值得注意的是,当分解者多样性较高时,分解的变异性大大降低,这表明存在组合效应。我们的结果表明,无脊椎动物分解者多样性对于维持高寒地区的凋落物分解以及这项服务的稳定性至关重要。