Suppr超能文献

组蛋白HMM:具有广泛基因组足迹的组蛋白修饰差异分析。

histoneHMM: Differential analysis of histone modifications with broad genomic footprints.

作者信息

Heinig Matthias, Colomé-Tatché Maria, Taudt Aaron, Rintisch Carola, Schafer Sebastian, Pravenec Michal, Hubner Norbert, Vingron Martin, Johannes Frank

机构信息

Department of Computational Molecular Biology, Max Planck Institute for Molecular Genetics, Ihnesstrasse 63-73, Berlin, 14195, Germany.

Quantitative Epigenetics, European Research Institute for the Biology of Ageing, University of Groningen, University Medical Center Groningen, A. Deusinglaan 1, AV, Groningen, 9713, The Netherlands.

出版信息

BMC Bioinformatics. 2015 Feb 22;16:60. doi: 10.1186/s12859-015-0491-6.

Abstract

BACKGROUND

ChIP-seq has become a routine method for interrogating the genome-wide distribution of various histone modifications. An important experimental goal is to compare the ChIP-seq profiles between an experimental sample and a reference sample, and to identify regions that show differential enrichment. However, comparative analysis of samples remains challenging for histone modifications with broad domains, such as heterochromatin-associated H3K27me3, as most ChIP-seq algorithms are designed to detect well defined peak-like features.

RESULTS

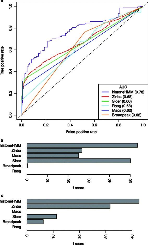
To address this limitation we introduce histoneHMM, a powerful bivariate Hidden Markov Model for the differential analysis of histone modifications with broad genomic footprints. histoneHMM aggregates short-reads over larger regions and takes the resulting bivariate read counts as inputs for an unsupervised classification procedure, requiring no further tuning parameters. histoneHMM outputs probabilistic classifications of genomic regions as being either modified in both samples, unmodified in both samples or differentially modified between samples. We extensively tested histoneHMM in the context of two broad repressive marks, H3K27me3 and H3K9me3, and evaluated region calls with follow up qPCR as well as RNA-seq data. Our results show that histoneHMM outperforms competing methods in detecting functionally relevant differentially modified regions.

CONCLUSION

histoneHMM is a fast algorithm written in C++ and compiled as an R package. It runs in the popular R computing environment and thus seamlessly integrates with the extensive bioinformatic tool sets available through Bioconductor. This makeshistoneHMM an attractive choice for the differential analysis of ChIP-seq data. Software is available from http://histonehmm.molgen.mpg.de .

摘要

背景

染色质免疫沉淀测序(ChIP-seq)已成为探究各种组蛋白修饰全基因组分布的常规方法。一个重要的实验目标是比较实验样本和参考样本之间的ChIP-seq图谱,并识别显示差异富集的区域。然而,对于具有广泛结构域的组蛋白修饰(如异染色质相关的H3K27me3),样本的比较分析仍然具有挑战性,因为大多数ChIP-seq算法旨在检测明确的峰状特征。

结果

为了解决这一局限性,我们引入了histoneHMM,这是一种强大的双变量隐马尔可夫模型,用于对具有广泛基因组足迹的组蛋白修饰进行差异分析。histoneHMM在更大区域上聚合短读段,并将所得的双变量读段计数作为无监督分类程序的输入,无需进一步调整参数。histoneHMM输出基因组区域的概率分类,表明其在两个样本中均被修饰、在两个样本中均未被修饰或在样本之间存在差异修饰。我们在两种广泛的抑制性标记H3K27me3和H3K9me3的背景下对histoneHMM进行了广泛测试,并通过后续的定量PCR以及RNA测序数据评估区域调用。我们的结果表明,histoneHMM在检测功能相关的差异修饰区域方面优于其他竞争方法。

结论

histoneHMM是一种用C++编写并编译为R包的快速算法。它在流行的R计算环境中运行,因此与通过Bioconductor提供的广泛生物信息学工具集无缝集成。这使得histoneHMM成为ChIP-seq数据差异分析的一个有吸引力的选择。软件可从http://histonehmm.molgen.mpg.de获取。

https://cdn.ncbi.nlm.nih.gov/pmc/blobs/4200/4347972/d488f523830f/12859_2015_491_Fig1_HTML.jpg

文献AI研究员

20分钟写一篇综述,助力文献阅读效率提升50倍。

立即体验

用中文搜PubMed

大模型驱动的PubMed中文搜索引擎

马上搜索

文档翻译

学术文献翻译模型,支持多种主流文档格式。

立即体验