• 文献检索
  • 文档翻译
  • 深度研究
  • 学术资讯
  • Suppr Zotero 插件Zotero 插件
  • 邀请有礼
  • 套餐&价格
  • 历史记录
应用&插件
Suppr Zotero 插件Zotero 插件浏览器插件Mac 客户端Windows 客户端微信小程序
定价
高级版会员购买积分包购买API积分包
服务
文献检索文档翻译深度研究API 文档MCP 服务
关于我们
关于 Suppr公司介绍联系我们用户协议隐私条款
关注我们

Suppr 超能文献

核心技术专利:CN118964589B侵权必究
粤ICP备2023148730 号-1Suppr @ 2026

文献检索

告别复杂PubMed语法,用中文像聊天一样搜索,搜遍4000万医学文献。AI智能推荐,让科研检索更轻松。

立即免费搜索

文件翻译

保留排版,准确专业,支持PDF/Word/PPT等文件格式,支持 12+语言互译。

免费翻译文档

深度研究

AI帮你快速写综述,25分钟生成高质量综述,智能提取关键信息,辅助科研写作。

立即免费体验

大型河流鱼类群落的转变:体型和营养结构动态

Shift in a large river fish assemblage: body-size and trophic structure dynamics.

作者信息

Broadway Kyle J, Pyron Mark, Gammon James R, Murry Brent A

机构信息

Institute for Great Lakes Research, Biology Dept., Central Michigan University, Mount Pleasant, MI 48858, United States of America.

Department of Biology, Ball State University, Muncie, IN 47306, United States of America.

出版信息

PLoS One. 2015 Apr 22;10(4):e0124954. doi: 10.1371/journal.pone.0124954. eCollection 2015.

DOI:10.1371/journal.pone.0124954
PMID:25902144
原文链接:https://pmc.ncbi.nlm.nih.gov/articles/PMC4406865/
Abstract

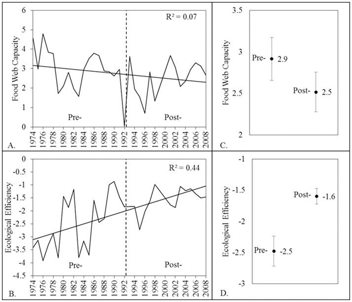
As the intensity and speed of environmental change increase at both local and global scales it is imperative that we gain a better understanding of the ecological implications of community shifts. While there has been substantial progress toward understanding the drivers and subsequent responses of community change (e.g. lake trophic state), the ecological impacts of food web changes are far less understood. We analyzed Wabash River fish assemblage data collected from 1974-2008, to evaluate temporal variation in body-size structure and functional group composition. Two parameters derived from annual community size-spectra were our major response variables: (1) the regression slope is an index of ecological efficiency and predator-prey biomass ratios, and (2) spectral elevation (regression midpoint height) is a proxy for food web capacity. We detected a large assemblage shift, over at least a seven year period, defined by dramatic changes in abundance (measured as catch-per-unit-effort) of the dominant functional feeding groups among two time periods; from an assemblage dominated by planktivore-omnivores to benthic invertivores. There was a concurrent increase in ecological efficiency (slopes increased over time) following the shift associated with an increase in large-bodied low trophic level fish. Food web capacity remained relatively stable with no clear temporal trends. Thus, increased ecological efficiency occurred simultaneous to a compensatory response that shifted biomass among functional feeding groups.

摘要

随着环境变化在地方和全球尺度上的强度和速度不断增加,我们必须更好地理解群落转变的生态影响。虽然在理解群落变化的驱动因素和后续响应(如湖泊营养状态)方面已经取得了重大进展,但对食物网变化的生态影响却知之甚少。我们分析了1974年至2008年收集的瓦巴什河鱼类群落数据,以评估体型结构和功能组组成的时间变化。从年度群落大小谱得出的两个参数是我们的主要响应变量:(1)回归斜率是生态效率和捕食者 - 猎物生物量比的指标,(2)谱高程(回归中点高度)是食物网容量的代理指标。我们检测到至少在七年时间内发生了一次大型群落转变,其定义为两个时间段内主要功能摄食组的丰度(以单位努力捕捞量衡量)发生了巨大变化;从以浮游动物 - 杂食动物为主的群落转变为底栖食虫动物为主的群落。转变后生态效率同时增加(斜率随时间增加),这与大型低营养级鱼类数量增加有关。食物网容量保持相对稳定,没有明显的时间趋势。因此,生态效率的提高与功能摄食组之间生物量转移的补偿性响应同时发生。

https://cdn.ncbi.nlm.nih.gov/pmc/blobs/e5a3/4406865/f02a575afe5c/pone.0124954.g005.jpg
https://cdn.ncbi.nlm.nih.gov/pmc/blobs/e5a3/4406865/24c0ea6f081e/pone.0124954.g001.jpg
https://cdn.ncbi.nlm.nih.gov/pmc/blobs/e5a3/4406865/34d8c16a4dc9/pone.0124954.g002.jpg
https://cdn.ncbi.nlm.nih.gov/pmc/blobs/e5a3/4406865/60a48894eef1/pone.0124954.g003.jpg
https://cdn.ncbi.nlm.nih.gov/pmc/blobs/e5a3/4406865/9c6f342be7a5/pone.0124954.g004.jpg
https://cdn.ncbi.nlm.nih.gov/pmc/blobs/e5a3/4406865/f02a575afe5c/pone.0124954.g005.jpg
https://cdn.ncbi.nlm.nih.gov/pmc/blobs/e5a3/4406865/24c0ea6f081e/pone.0124954.g001.jpg
https://cdn.ncbi.nlm.nih.gov/pmc/blobs/e5a3/4406865/34d8c16a4dc9/pone.0124954.g002.jpg
https://cdn.ncbi.nlm.nih.gov/pmc/blobs/e5a3/4406865/60a48894eef1/pone.0124954.g003.jpg
https://cdn.ncbi.nlm.nih.gov/pmc/blobs/e5a3/4406865/9c6f342be7a5/pone.0124954.g004.jpg
https://cdn.ncbi.nlm.nih.gov/pmc/blobs/e5a3/4406865/f02a575afe5c/pone.0124954.g005.jpg

相似文献

1
Shift in a large river fish assemblage: body-size and trophic structure dynamics.大型河流鱼类群落的转变:体型和营养结构动态
PLoS One. 2015 Apr 22;10(4):e0124954. doi: 10.1371/journal.pone.0124954. eCollection 2015.
2
[Trophic structure of river fish from Corral de San Luis, Magdalena river basin, Colombia Caribbean].[哥伦比亚加勒比地区马格达莱纳河流域圣路易斯围栏河鱼类的营养结构]
Rev Biol Trop. 2016 Jun;64(2):715-32. doi: 10.15517/rbt.v64i2.18781.
3
Responses of fish assemblage structure to large-scale weir construction in riverine ecosystems.鱼类群落结构对河流生态系统中大规模堰坝建设的响应。
Sci Total Environ. 2019 Mar 20;657:1334-1342. doi: 10.1016/j.scitotenv.2018.11.446. Epub 2018 Nov 30.
4
Ecosystem regime shifts disrupt trophic structure.生态系统的体制转变扰乱了营养结构。
Ecol Appl. 2018 Jan;28(1):191-200. doi: 10.1002/eap.1639. Epub 2017 Dec 13.
5
Does invasion by armored catfish shift trophic ecology of native fishes? Evidence from stable isotope analysis. armored catfish 入侵是否改变了本地鱼类的营养生态?稳定同位素分析的证据。
Ecology. 2023 May;104(5):e4024. doi: 10.1002/ecy.4024. Epub 2023 Mar 22.
6
Widespread omnivory and low temporal and spatial variation in the diet of fishes in a hydrologically variable northern Australian river.在水文变化较大的澳大利亚北部河流中,鱼类广泛杂食,且其食性在时间和空间上的变化较小。
J Fish Biol. 2010 Aug;77(3):731-53. doi: 10.1111/j.1095-8649.2010.02712.x.
7
Feeding guilds and food resource partitioning in a lake fish assemblage: an ontogenetic approach.摄食类群和食物资源在湖泊鱼类群落中的分区:一种个体发育的方法。
J Fish Biol. 2009 Jul;75(1):247-67. doi: 10.1111/j.1095-8649.2009.02283.x.
8
Long-term trends in trait structure of riverine communities facing predation risk increase and trophic resource decline.面临捕食风险增加和营养资源减少的河流群落特征的长期趋势。
Ecol Appl. 2017 Dec;27(8):2458-2474. doi: 10.1002/eap.1621. Epub 2017 Nov 29.
9
Implications of scaled δ15N fractionation for community predator-prey body mass ratio estimates in size-structured food webs.尺度化δ15N 分馏对大小结构食物网中社区捕食者-猎物体质量比估计的影响。
J Anim Ecol. 2015 Nov;84(6):1618-27. doi: 10.1111/1365-2656.12405. Epub 2015 Jul 20.
10
Body size-trophic position relationships among fishes of the lower Mekong basin.湄公河下游流域鱼类的体型与营养级关系
R Soc Open Sci. 2017 Jan 4;4(1):160645. doi: 10.1098/rsos.160645. eCollection 2017 Jan.

引用本文的文献

1
Geomorphological characteristics of the Wabash River, USA: Influence on fish assemblages.美国沃巴什河的地貌特征:对鱼类群落的影响。
Ecol Evol. 2021 Mar 18;11(9):4542-4549. doi: 10.1002/ece3.7349. eCollection 2021 May.
2
Measuring change in biological communities: multivariate analysis approaches for temporal datasets with low sample size.测量生物群落的变化:针对低样本量时间数据集的多元分析方法
PeerJ. 2021 Apr 8;9:e11096. doi: 10.7717/peerj.11096. eCollection 2021.
3
Long-term fish assemblages of the Ohio River: Altered trophic and life history strategies with hydrologic alterations and land use modifications.

本文引用的文献

1
An upper limit to the abundance of aquatic organisms.水生生物丰度的上限。
Oecologia. 1987 Dec;74(2):272-276. doi: 10.1007/BF00379370.
2
The effect of body size on animal abundance.体型对动物数量的影响。
Oecologia. 1983 Oct;60(1):89-96. doi: 10.1007/BF00379325.
3
Ecosystem ecology: size-based constraints on the pyramids of life.生态系统生态学:基于大小的生命之塔的制约。
俄亥俄河鱼类的长期生物群集:水文变化和土地利用方式改变导致的营养级和生活史策略改变。
PLoS One. 2019 Apr 24;14(4):e0211848. doi: 10.1371/journal.pone.0211848. eCollection 2019.
Trends Ecol Evol. 2013 Jul;28(7):423-31. doi: 10.1016/j.tree.2013.03.008. Epub 2013 Apr 24.
4
Nicotine in cigarettes promotes chromogranin A production by human periodontal ligament fibroblasts.香烟中的尼古丁可促进人牙周韧带成纤维细胞分泌嗜铬粒蛋白 A。
Arch Oral Biol. 2013 Aug;58(8):1029-33. doi: 10.1016/j.archoralbio.2013.02.012. Epub 2013 Apr 4.
5
Warming alters community size structure and ecosystem functioning.升温改变了群落大小结构和生态系统功能。
Proc Biol Sci. 2012 Aug 7;279(1740):3011-9. doi: 10.1098/rspb.2012.0394. Epub 2012 Apr 11.
6
Fishing destabilizes the biomass flow in the marine size spectrum.捕鱼会破坏海洋生物量谱中的生物量流动。
Proc Biol Sci. 2012 Jan 22;279(1727):284-92. doi: 10.1098/rspb.2011.0893. Epub 2011 Jun 1.
7
Role of the fish Astyanax aeneus (Characidae) as a keystone nutrient recycler in low-nutrient neotropical streams.鱼类 Astyanax aeneus(脂鲤科)在营养物质低的新热带溪流中作为关键营养物质再循环者的作用。
Ecology. 2011 Feb;92(2):386-97. doi: 10.1890/10-0081.1.
8
Early warnings of regime shifts: a whole-ecosystem experiment.早期的制度转变预警:全生态系统实验。
Science. 2011 May 27;332(6033):1079-82. doi: 10.1126/science.1203672. Epub 2011 Apr 28.
9
Drug targeting to macrophages using paromomycin-loaded albumin microspheres for treatment of visceral leishmaniasis: an in vitro evaluation.采用巴龙霉素负载白蛋白微球靶向巨噬细胞治疗内脏利什曼病的体外评价。
J Drug Target. 2011 May;19(4):239-50. doi: 10.3109/1061186X.2010.492524. Epub 2010 Jun 14.
10
Regime shifts in ecological systems can occur with no warning.生态系统的状态转移可能会毫无预警地发生。
Ecol Lett. 2010 Apr;13(4):464-72. doi: 10.1111/j.1461-0248.2010.01439.x. Epub 2010 Feb 8.