Tamminen Anu, Wang Yanming, Wiebe Marilyn G
VTT Technical Research Centre of Finland, P.O. Box 1000, FI-02044 VTT, Finland.
Mar Drugs. 2015 Jun 24;13(7):3992-4005. doi: 10.3390/md13073992.
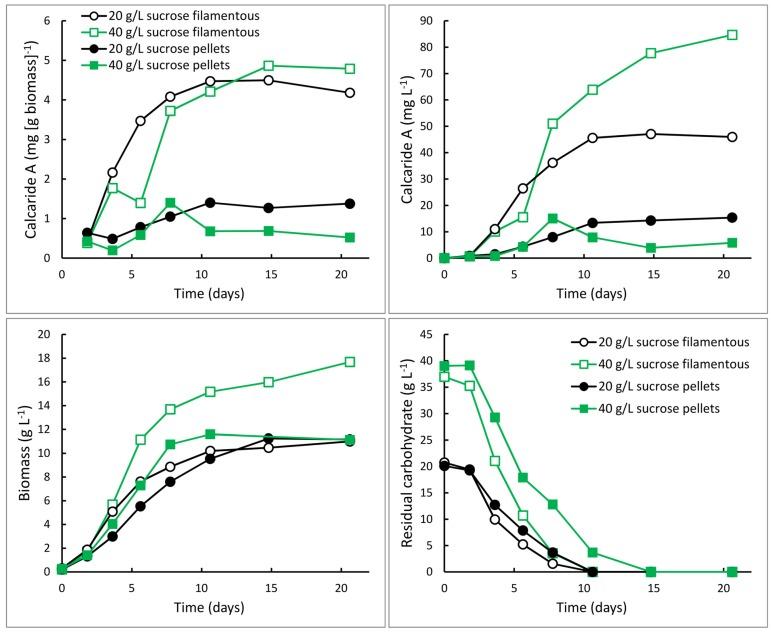
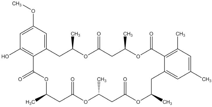
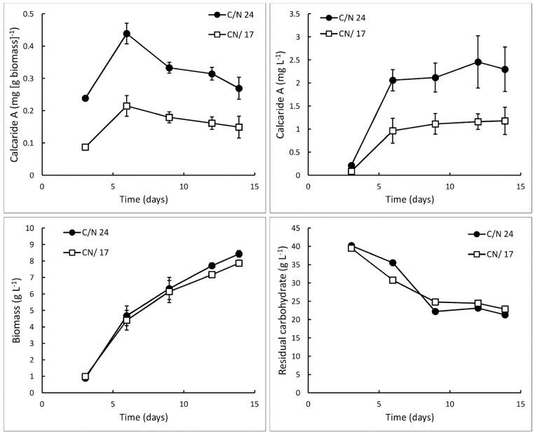
Increased interest in marine resources has led to increased screening of marine fungi for novel bioactive compounds and considerable effort is being invested in discovering these metabolites. For compound discovery, small-scale cultures are adequate, but agitated bioreactors are desirable for larger-scale production. Calcarisporium sp. KF525 has recently been described to produce calcaride A, a cyclic polyester with antibiotic activity, in agitated flasks. Here, we describe improvements in the production of calcaride A in both flasks (13-fold improvement) and stirred bioreactors (200-fold improvement). Production of calcaride A in bioreactors was initially substantially lower than in shaken flasks. The cultivation pH (reduced from 6.8 to <5.4), carbon source (sucrose replacing glucose), C/N ratio and nature of mycelial growth (pellets or filaments) were important in improving calcaride A production. Up to 4.5 mg·g-1 biomass (85 mg·L-1) calcaride A were produced in the bioreactor, which was only slightly less than in shaken flasks (14 mg·g-1, 100 mg·L-1). The results demonstrate that a scalable process for calcaride A production could be developed using an iterative approach with flasks and bioreactors.
对海洋资源兴趣的增加导致了对海洋真菌进行新型生物活性化合物筛选的增加,并且正在投入大量精力来发现这些代谢产物。对于化合物发现而言,小规模培养就足够了,但对于大规模生产来说,搅拌式生物反应器是可取的。最近有报道称,Calcarisporium sp. KF525在搅拌烧瓶中能产生具有抗生素活性的环状聚酯卡尔卡里德A。在此,我们描述了在烧瓶(提高了13倍)和搅拌式生物反应器(提高了200倍)中卡尔卡里德A产量的提高情况。生物反应器中卡尔卡里德A的产量最初大幅低于摇瓶。培养pH值(从6.8降至<5.4)、碳源(蔗糖替代葡萄糖)、碳氮比以及菌丝体生长的性质(颗粒状或丝状)对于提高卡尔卡里德A的产量很重要。生物反应器中每克生物质可产生高达4.5毫克(85毫克/升)的卡尔卡里德A,仅略低于摇瓶中的产量(14毫克/克,100毫克/升)。结果表明,可以采用烧瓶和生物反应器的迭代方法来开发一种可扩展的卡尔卡里德A生产工艺。