Ge Li-Sheng, Hoa Neil T, Lambrecht Nils, Dacosta-Iyer Maria, Ouyang Yi, Abolhoda Amir, Jadus Martin R
1 Research Service, 2 Pathology and Laboratory Medicine Service, VA Long Beach Healthcare System, Long Beach, CA 90822, USA ; 3 Pathology and Laboratory Medicine, University of California, Irvine, CA 92697, USA ; 4 Surgical Health Care Group, Veterans Affairs Medical Center, Long Beach, CA 90822, USA ; 5 Chao Family Comprehensive Cancer Center, UC, Irvine School of Medicine, University of California, Irvine, Orange, CA 92868, USA.
Cancer Biol Med. 2015 Jun;12(2):96-105. doi: 10.7497/j.issn.2095-3941.2015.0027.
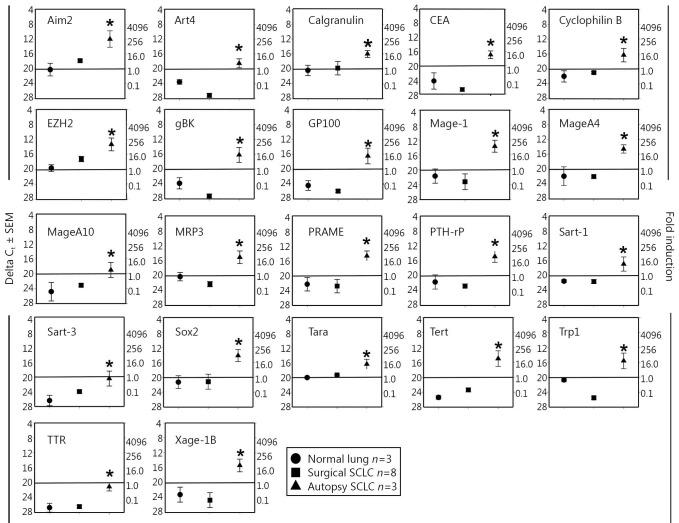
Our group has previously observed that in patients with small-cell lung cancers (SCLCs), the expression of a tumor antigen, glioma big potassium (gBK) ion channel, is higher at the time of death than when the cancer is first treated by surgical resection. This study aimed to determine whether this dichotomy was common in other potential lung tumor antigens by examining the same patient samples using our more extensive profile analysis of tumor-antigen precursor protein (TAPP). We then tested the hypothesis that therapeutic intervention may inadvertently cause this increased gBK production.
SCLC samples (eight surgical resections and three autopsy samples) and three control lungs were examined by quantitative real-time polymerase chain reaction for 42 potential TAPPs that represent potential T-cell-mediated immunological targets.
Twenty-two TAPP mRNAs displayed the same profile as gBK, i.e., more mRNAs were expressed at autopsy than in their surgical counterparts. B-cyclin and mouse double minute 2, human homolog of P53-binding protein were elevated in both autopsy and surgical specimens above the normal-lung controls. When HTB119 cells were incubated with doxorubicin, gBK was strongly induced, as confirmed by intracellular flow cytometry with a gBK-specific antibody.
Our findings suggested that more immunological targets became available as the tumor responded to chemotherapy and proceeded toward its terminal stages.