Suppr超能文献

宁与坏同伴为伍也不要独处?伊蚊媒介在有其他同类存在时对繁殖地质量的反应有所不同。

Better to Be in Bad Company than to Be Alone? Aedes Vectors Respond Differently to Breeding Site Quality in the Presence of Others.

作者信息

Riback Thais I S, Honório Nildimar A, Pereira Renato N, Godoy Wesley A C, Codeço Cláudia T

机构信息

Programa de Computação Científica, Fundação Oswaldo Cruz, Rio de Janeiro, Rio de Janeiro, Brazil.

Laboratório de Transmissores de Hematozoários, Instituto Oswaldo Cruz, Fundação Oswaldo Cruz, Rio de Janeiro, Rio de Janeiro, Brazil.

出版信息

PLoS One. 2015 Aug 5;10(8):e0134450. doi: 10.1371/journal.pone.0134450. eCollection 2015.

Abstract

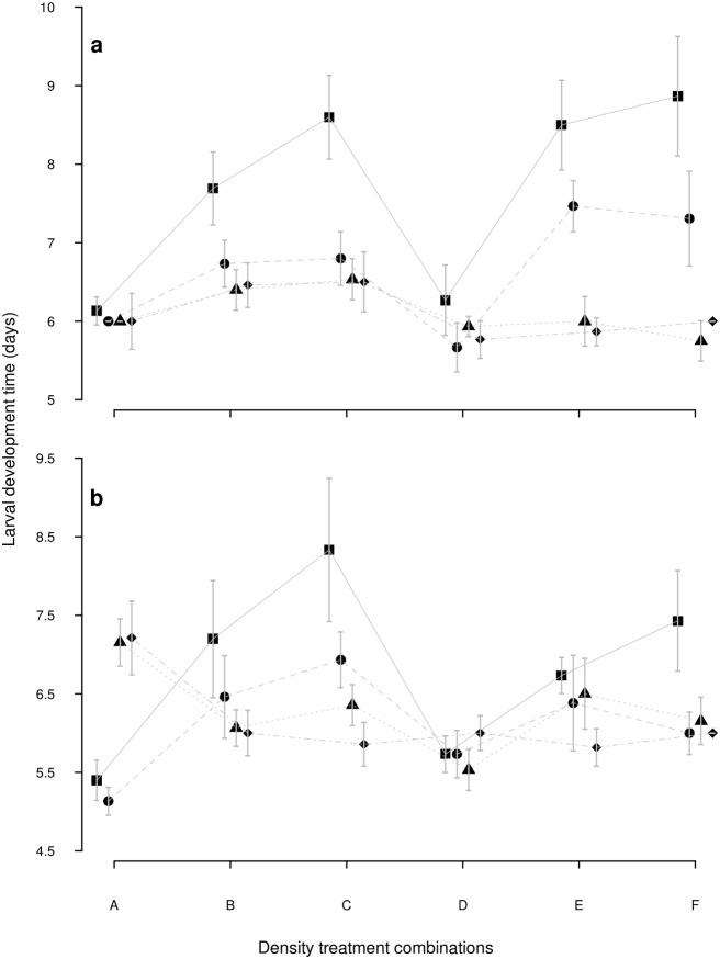
This study focuses on two competing species, Aedes aegypti and Aedes albopictus (Diptera: Culicidae), both invasive mosquitoes of the New World. Context-specific competition between immature forms inside containers seems to be an important determinant of the coexistence or displacement of each species in different regions of the world. Here, competition experiments developed at low density (one, two or three larvae) and receiving four different resource food concentration, were designed to test whether Ae. albopictus and Ae. aegypti respond differently to competition, and whether competition can be attributed to a simple division of resources. Three phenotypic traits - larval development, adult survival under starvation and wing length - were used as indicators of performance. Larvae of neither species were limited by resource concentration when they were alone, unlike when they developed with competitors. The presence of conspecifics affected Ae. aegypti and Ae. albopictus, inducing slower development, reduced survival and wing length. The response to resource limitation was different when developing with heterospecifics: Ae. aegypti developing with one heterospecific showed faster development, producing smaller adults with shorter lives, while in the presence of two competitors, development increased and adults lived longer. Aedes albopictus demonstrated a better performance when developing with heterospecifics, with no loss in their development period and improved adult survival. Overall, our results suggest that response to competition can not simply be attributed to the division of resources, and that larvae of both species presented large phenotypic plasticity in their response to the presence or absence of heterospecifics and conspecifics.

摘要

本研究聚焦于两种竞争物种,埃及伊蚊和白纹伊蚊(双翅目:蚊科),它们都是入侵新大陆的蚊子。容器内未成熟形态之间特定环境下的竞争似乎是这两个物种在世界不同地区共存或取代的一个重要决定因素。在此,开展了低密度(一、二或三只幼虫)且接受四种不同资源食物浓度的竞争实验,旨在测试埃及伊蚊和白纹伊蚊对竞争的反应是否不同,以及竞争是否可归因于资源的简单分配。三个表型特征——幼虫发育、饥饿状态下的成虫存活以及翅长——被用作性能指标。当单独存在时,两个物种的幼虫都不受资源浓度的限制,这与它们和竞争者一起发育时的情况不同。同种个体的存在影响了埃及伊蚊和白纹伊蚊,导致发育变慢、存活率降低以及翅长变短。与异种个体一起发育时,对资源限制的反应有所不同:与一只异种个体一起发育的埃及伊蚊发育更快,产生的成虫体型更小且寿命更短,而在有两只竞争者的情况下,发育加快且成虫寿命更长。白纹伊蚊在与异种个体一起发育时表现出更好的性能,其发育期没有缩短且成虫存活率提高。总体而言,我们的结果表明,对竞争的反应不能简单地归因于资源分配,并且两个物种的幼虫在对异种和同种个体存在与否的反应中都表现出很大的表型可塑性。

https://cdn.ncbi.nlm.nih.gov/pmc/blobs/0a1b/4526638/f4095112cfcf/pone.0134450.g001.jpg

文献AI研究员

20分钟写一篇综述,助力文献阅读效率提升50倍。

立即体验

用中文搜PubMed

大模型驱动的PubMed中文搜索引擎

马上搜索

文档翻译

学术文献翻译模型,支持多种主流文档格式。

立即体验