Xu Dengfeng, Hou Shengping, Zhang Jun, Jiang Yanni, Kijlstra Aize, Yang Peizeng
The First Affiliated Hospital of Chongqing Medical University, Chongqing Key Laboratory of Ophthalmology and Chongqing Eye Institute, Chongqing, P. R. China.
University Eye Clinic Maastricht, Maastricht, The Netherlands.
Sci Rep. 2015 Aug 13;5:12989. doi: 10.1038/srep12989.
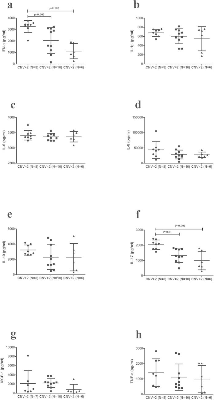
Complement is involved in many immune-mediated diseases. However, the association of its copy number variations (CNVs) and polymorphisms with Behcet's disease (BD) and Vogt-Koyanagi-Harada syndrome (VKH) is unknown. We examined copy number and mRNA expression by real-time PCR. Cytokine production by stimulated peripheral blood mononuclear cells (PBMCs) in genotyped individuals was measured by ELISA. The frequencies of having more than two copies of C3 were significantly increased in BD and VKH, whereas CNV of C5 was only associated with BD. Increased frequencies of the GG genotype of C3 rs408290 and C5 rs2269067 were found in BD. No association was observed between C3 and C5 SNPs and VKH. mRNA expression in the high CNV group and GG cases of C3 and C5 was significantly higher compared to other genotypes. Increased interleukin-17 and IFN-γ was observed in the high CNV group and GG genotype cases of C3. Interleukin-17 but not IFN-γ was increased in the high CNV group and GG genotype cases of C5. No effect of C3 or C5 genetic variants was seen on the production of TNF-α, IL-10, IL-1β, MCP-1, IL-6 and IL-8. Our study thus provides further evidence for a role of complement in the pathogenesis of uveitis.
补体参与多种免疫介导的疾病。然而,其拷贝数变异(CNV)和多态性与白塞病(BD)和伏格特-小柳-原田综合征(VKH)之间的关联尚不清楚。我们通过实时聚合酶链反应检测了拷贝数和mRNA表达。通过酶联免疫吸附测定法测量了基因分型个体中经刺激的外周血单个核细胞(PBMC)产生的细胞因子。BD和VKH中C3拷贝数超过两个的频率显著增加,而C5的CNV仅与BD相关。BD中发现C3 rs408290和C5 rs2269067的GG基因型频率增加。未观察到C3和C5单核苷酸多态性与VKH之间存在关联。与其他基因型相比,C3和C5的高CNV组和GG病例中的mRNA表达显著更高。在C3的高CNV组和GG基因型病例中观察到白细胞介素-17和干扰素-γ增加。在C5的高CNV组和GG基因型病例中白细胞介素-17增加,但干扰素-γ未增加。未发现C3或C5基因变异对肿瘤坏死因子-α、白细胞介素-10、白细胞介素-1β、单核细胞趋化蛋白-1、白细胞介素-6和白细胞介素-8的产生有影响。因此,我们的研究为补体在葡萄膜炎发病机制中的作用提供了进一步的证据。